Abstract
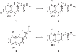
Herbidospora is one of the underexplored actinomycete genera from which only a limited number of secondary metabolites are reported. In our continuing investigation on less explored actinomycetes, a liquid culture of Herbidospora sp. RD 11066 was found to contain unknown metabolites that had no match in our in-house UV database. Chromatographic separation and following structural analysis using NMR and MS identified these metabolites to be chromanone and chromene derivatives, which were respectively composed of an inseparable mixture of two isomeric forms. The former polyketides, designated to be herbidomicins A1 (1) and A2 (2), are positional isomers in terms of a methyl substituent on an aromatic ring that mutually interconvert by acetal exchange by two phenolic hydroxy groups. The latter pair, herbidomicins B1 (3) and B2 (4), is Z/E-isomers regarding an enol ether double bond. Herbidomicins 1–4 were weakly antifungal against a dermatophytic fungus Trichophyton rubrum and were moderately cytotoxic against murine leukemia P388 cells.
This is a preview of subscription content, access via your institution
Access options
Subscribe to this journal
Receive 12 print issues and online access
$259.00 per year
only $21.58 per issue
Buy this article
- Purchase on SpringerLink
- Instant access to the full article PDF.
USD 39.95
Prices may be subject to local taxes which are calculated during checkout





Similar content being viewed by others
References
Barka EA, Vatsa P, Sanchez L, Gaveau-Vaillant N, Jacquard C, Meier-Kolthoff JP, et al. Taxonomy, physiology, and natural products of actinobacteria. Microbiol Mol Biol Rev. 2015;80:1–43.
Tiwari K, Gupta RK. Rare actinomycetes: a potential storehouse for novel antibiotics. Crit Rev Biotechnol. 2012;32:108–32.
Saito S, Atsumi K, Zhou T, Fukaya K, Urabe D, Oku N, et al. A cyclopeptide and three oligomycin-class polyketides produced by an underexplored actinomycete of the genus Pseudosporangium. Beilstein J Org Chem. 2020;6:1100–10.
Lu S, Zhou T, Fukaya K, Harunari E, Oku N, Urabe D, et al. Krasilnikolides A and B and detalosylkrasilnikolide A, cytotoxic 20-membered macrolides from the genus Krasilnikovia: assignment of anomeric configuration by J-based configuration analysis. J Nat Prod. 2022;85:2796–803.
Liu C, Zhang Z, Fukaya K, Urabe D, Harunari E, Oku N, et al. Catellatolactams A–C, plant growth-promoting ansamacrolactam from a rare actinomycete of the genus Catellatospora. J Nat Prod. 2022;85:1993–9.
Liu C, Zhang Z, Fukaya K, Oku N, Harunari E, Urabe D, et al. Isolation and structure determination of allopteridic acids A–C and allokutzmicin from an unexplored actinomycete of the genus Allokutzneria. J Antibiot. 2023;76:305–15.
Kudo T, Itoh T, Miyadoh S, Shomura T, Seino A. Herbidospora gen. nov., new genus of the family Streptosporangiaceae Goodfellow et al. 1990. Int J Syst Bacteriol. 1993;43:319–28.
Kudo T. Establisment of the genus Herbidospora and some new taxa of actinomycetes. Actinomycetol. 1995;9:66–74.
Tseng M, Yang SF, Yuan GF. Herbidospora yilanensis sp. nov. and Herbidospora daliensis sp. nov., from sediment. Int J Syst Evol Microbiol. 2010;60:1168–72.
Boondaeng A, Suriyachadkun C, Ishida Y, Tamura T, Tokuyama S, Kitpreechavanich V. Herbidospora sakaeratensis sp. nov., isolated from soil, and reclassification of Streptosporangium claviforme as a later synonym of Herbidospora cretacea. Int J Syst Evol Microbiol. 2011;61:777–80.
Ara I, Tsetseg B, Daram D, Suto M, Ando K. Herbidospora mongoliensis sp. nov., isolated from soil, and reclassification of Herbidospora osyris and Streptosporangium claviforme as synonyms of Herbidospora cretacea. Int J Syst Evol Microbiol. 2012;62:2322–9.
Niemhom N, Thawai C. Herbidospora soli sp. nov., isolated from soil. Int J Syst Evol Microbiol. 2018;68:294–8.
Han L, Yu M, Zhao J, Jiang H, Guo X, Shen G, et al. Herbidospora galbida sp. nov., a novel actinobacterium isolated from soil. Int J Syst Evol Microbiol. 2020;70:1364–71.
Yu M, Zhou R, Li J, Han L, Wang H, Zhang S, et al. Herbidospora solisilvae sp. nov., a novel cellulose-degrading actinobacterium isolated from forest soil. Int J Syst Evol Microbiol. 2021;114:581–90.
Cheng MJ, Wu MD, Chen JJ, Su YS, Kuo YH. Secondary metabolites with antimycobacterial activities from one actinobacteria: Herbidospora yilanensis. Molecules. 2021;26:6236.
Chen JJ, Lee TH, Cheng MJ. Secondary metabolites with anti-inflammatory activities from an actinobacteria Herbidospora daliensis. Molecules. 2022;27:1887.
Biological Resource Center, NITE (NBRC). https://www.nite.go.jp/nbrc/ (accessed Sep. 25, 2020).
Tanemura K, Suzuki T, Horaguchi T, Sudo M. Synthesis and properties of furo[4,3,2-de][1]benzopyran. J Heterocycl Chem. 1991;28:305-9.
Singh J, Zeller W, Zhou N, Hategan G, Mishra RK, Polozov A, et al. Structure−activity relationship studies leading to the identification of (2E)-3-[l-[(2,4-dichlorophenyl)methyl]-5-fluoro-3-methyl-lH-indol-7-yl]-N-[(4,5-dichloro-2-thienyl)sulfonyl]-2-propenamide (DG-041), a potent and selective prostanoid EP3 receptor antagonist, as a novel antiplatelet agent that does not prolong bleeding. J Med Chem. 2010:53;18–36.
Katritzky, AR, Denisko, OV Heterocyclic compound. Encyclopedia Britannica, 1 December 2023. https://www.britannica.com/science/heterocyclic-compound (accessed January 19, 2024).
Dangles O, Fenger JA. The chemical reactivity of anthocyanins and its consequences in food science and nutrition. Molecules. 2018;23:1970.
Mattioli R, Francioso A, Mosca L, Silva P. Anthocyanins: a comprehensive review of their chemical properties and health effects on cardiovascular and neurodegenerative diseases. Molecules. 2020;25:3809.
Matsunaga H, Kamisuki S, Kaneko M, Yamaguchi Y, Takeuchi T, Watashi K, et al. Isolation and structure of vanitaracin A, a novel anti-hepatitis B virus compound from Talaromyces sp. Bioorg Med Chem Lett. 2015;25:4325–8.
Ma J, Cao B, Chen X, Xu M, Bi X, Guan P, et al. Violacin A, a new chromanone produced by Streptomyces violaceoruber and its anti-inflammatory activity. Bioorg Med Chem Lett. 2018;28:947–51.
Jiang L, Pu H, Xiang J, Su M, Yan X, Yang D, et al. Huanglongmycin A–C, cytotoxic polyketides biosynthesized by a putative type II polyketide synthase from Streptomyces sp. CB09001. Front Chem. 2018;6:254.
Zhang H, Xiao X, Conte MM, Khalila Z, Capon RJ, Spiralisones A–D acylphloroglucinol hemiketals from an Australian marine brown alga, Zonaria spiralis. Org Biomol Chem 2012;10:9671–6.
Suthiwong J, Sribuhom T, Wongphakham P, Senawong T, Yenjai C. Cytotoxicity of acylphloroglucinol derivatives from the fruits of Horsfieldia irya. Nat Prod Res. 2021;35:4930–8.
Hu M, Yang XQ, Zhou QY, Li SQ, Wang BY, Ruan BH, et al. Benzopyran derivatives from endophytic Daldinia eschscholtzii JC-15 in Dendrobium chrysotoxum and their bioactivities. Nat Prod Res. 2019;33:1431–5.
Ding L, Maier A, Fiebig HH, Görls H, Lin WH, Peschel G, et al. Divergolides A–D from a mangrove endophyte reveal an unparalleled plasticity in ansa-macrolide biosynthesis. Angew Chem Int Ed. 2011;50:1630–4.
Dreyer DL, Munderloh KP, Thiessen WE. Extractives of Dalea species (Leguminosae). Tetrahedron. 1975;31:287–93.
Roitman JN, Jurd L. Biomimetic synthesis of dalrubone and of a new pigment from Dalea emoryi. Phytochemistry. 1978;1978:161–3.
Zhang H, Li X, Ashendel CL, Chang C. Bioactive compounds from Psorothamnus junceus. J Nat Prod. 2000;63:1244–8.
Facundo VA, Sá AL, Silva SAF, Morais SM, Matos CRR, Braz-Filho R. Three new natural cyclopentenedione derivatives from Piper carnoconnectivum. J Braz Chem Soc. 2004;15:140–5.
Karim MRU, Harunari E, Oku N, Akasaka K, Igarashi Y. Bulbimidazoles A–C, antimicrobial and cytotoxic alkanoyl imidazoles from a marine gammaproteobacterium microbulbifers species. J Nat Prod. 2020;83:1295–9.
Sharma AR, Zhou T, Harunari E, Oku N, Trianto A, Igarashi Y. Labrenzbactin from a coral-associated bacterium Labrenzia sp. J Antibiot. 2019;72:634–9.
Acknowledgements
We are indebted to Drs. Tao Zhou and Md. Rokon Ul Karim for their assistance in structure determination and cytotoxicity evaluation and Prof. Dr. D. Urabe for valuable discussion on tautomerism.
Author information
Authors and Affiliations
Corresponding author
Ethics declarations
Conflict of interest
The authors declare no competing interests.
Additional information
Publisher’s note Springer Nature remains neutral with regard to jurisdictional claims in published maps and institutional affiliations.
Supplementary information
Rights and permissions
Springer Nature or its licensor (e.g. a society or other partner) holds exclusive rights to this article under a publishing agreement with the author(s) or other rightsholder(s); author self-archiving of the accepted manuscript version of this article is solely governed by the terms of such publishing agreement and applicable law.
About this article
Cite this article
Amin, F.M., Harunari, E., Oku, N. et al. Herbidomicins, two pairs of polyketide tautomers produced by an actinomycete of the genus Herbidospora. J Antibiot 77, 647–652 (2024). https://doi.org/10.1038/s41429-024-00760-0
Received:
Revised:
Accepted:
Published:
Version of record:
Issue date:
DOI: https://doi.org/10.1038/s41429-024-00760-0


