Fig. 5

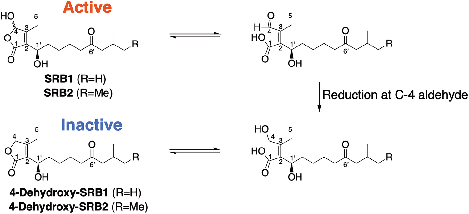
Possible signaling-molecule quenching mechanism of the formation of “inactive” SRB derivatives, 4-dehydroxy-SRBs, from “active” SRBs in Streptomyces rochei 7434AN4

Possible signaling-molecule quenching mechanism of the formation of “inactive” SRB derivatives, 4-dehydroxy-SRBs, from “active” SRBs in Streptomyces rochei 7434AN4