Abstract
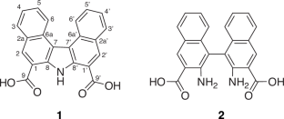
Deep-sea-derived microorganisms are quite attractive as resources for new secondary metabolites, enzymes, and gene discovery. We have isolated many marine microorganisms from deep-sea creatures and screened the new secondary metabolites produced by them. Two new molecules designated amino-naphthoic acid derivatives (1 and 2) were obtained by biological transformation using the deep-sea derived bacterium Serinicoccus marinus KDM482 successfully. Structural analysis using 1D and 2D NMR and MS data revealed that both 1 and 2 were dimerized compounds of 3-amino-2-naphthoic acid. In biological assays, 1 and 2 moderately inhibited the growth of Malme-3M cells.
This is a preview of subscription content, access via your institution
Access options
Subscribe to this journal
Receive 12 print issues and online access
$259.00 per year
only $21.58 per issue
Buy this article
- Purchase on SpringerLink
- Instant access to the full article PDF.
USD 39.95
Prices may be subject to local taxes which are calculated during checkout



References
Costello MJ, Chaudhary C. Marine biodiversity, biogeography, deep-sea gradients, and conservation. Curr Biol. 2017;27:R511–27. https://doi.org/10.1016/j.cub.2017.04.060.
Francine KW. Omega-3 fatty acids and congnitive function. Current Opin Lipidol. 2023;34:12–21. https://doi.org/10.1097/MOL.0000000000000862.
Uemura D, et al. Norhalichondrin A: an antitumor polyether macrolide from a marine sponge. J Am Chem Soc. 1985;107:4796–98. https://doi.org/10.1021/ja00302a042.
Feling RH, et al. Salinosporamide A: a highly cytotoxic proteasome inhibitor from a novel microbial source, a marine bacterium of the new genus Salinospora. Angew Chem Int Ed. 2003;42:355–57.
Ma L, Diao A. Marizomib, a potent second generation proteasome inhibitor from natural origin. Anticancer Agents Med Chem. 2015;15:298–306. https://doi.org/10.2174/1871520614666141114202606.
Kubota T, et al. Enantioselective utilization of D-amino acid by deep-sea microorganisms. Front Microbiol. 2016;7:511 https://doi.org/10.3389/fmicb.2016.00511.
Trzoss L, et al. Seriniquinone, a selective anticancer agent, induces cell death by autophagocytosis, targeting the cancer-protective protein dermcidin. Proc Natl Acad Sci USA. 2014;111:14687–92.
Hirata AS, et al. Preclinical development of seriniquinones as selective dermcidin modulators for the treatment of melanoma. Mar Drugs. 2022;20:301. https://doi.org/10.3390/md20050301.
Kumar S, et al. MEGA X: molecular evolutionary genetics analysis across computing platforms. Mol Biol Evol. 2018;35:1547–49.
Yi H, et al. Serinicoccus marinus gen. nov., sp. nov., a novel actinomycete with L-ornithine and L-serine in the peptidoglycan. Int J Syst Evol Microbiol. 2004;54:1585–89. https://doi.org/10.1099/ijs.0.03036-0.
Ishida K, et al. New dihydronaphthothiophene derivatives by the biological transformation of seriniquinone using marine-derived actinomycete Streptomyces albogriseolus OM27-12. J Antibiot. 2022;75:9–15. https://doi.org/10.1038/s41429-021-00484-5.
Korman JB, Fisher DE. Developing melanoma therapeutics: overview and update. Wiley Interdiscip Rev Syst Biol Med. 2013;5:257–71. https://doi.org/10.1002/wsbm.1210.
Lim SY, et al. Mechanisms and strategies to overcome resistance to molecularly targeted therapy for melanoma. Cancer. 2017;123:2118–29. https://doi.org/10.1002/concr.30435.
Jiang X, et al. Discovery of a new asymmetric dimer nenestatin B and implications of a dimerizing enzyme in a deep sea actinomycete. Org Biomol Chem. 2021;19:4243–47. https://doi.org/10.1039/d1ob00310k.
Liu Z, et al. Functional characterization of the halogenase SpmH and discovery of new deschloro-tryptophan dimers. Org Biomol Chem. 2019;17:1053–57. https://doi.org/10.1039/c8ob02775g.
Acknowledgements
We thank Ms. Saori Aoyama for supplying the deep-sea creatures. This work was supported by the Grant for Scientific Research from the Agriculture Technology and Innovation Research Institute, Kindai University.
Author information
Authors and Affiliations
Corresponding author
Ethics declarations
Conflict of interest
The authors declare no competing interests.
Additional information
Publisher’s note Springer Nature remains neutral with regard to jurisdictional claims in published maps and institutional affiliations.
Supplementary information
Rights and permissions
About this article
Cite this article
Sakaguchi, M., Kikuchi, K., Okamura, R. et al. New amino-naphthoic acid derivatives produced by biological transformation using the deep-sea-derived bacterium Serinicoccus marinus KDM482. J Antibiot 78, 573–576 (2025). https://doi.org/10.1038/s41429-025-00845-4
Received:
Revised:
Accepted:
Published:
Version of record:
Issue date:
DOI: https://doi.org/10.1038/s41429-025-00845-4