Abstract
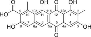
A new tetratecenedione, tetracenomycin Y (1), was isolated from the culture extract of an actinomycete Acrocarpospora sp. RD005083. The structure of 1 was determined by analyzing NMR, UV, and MS data in comparison with known tetracenomycins. Compound 1 promoted radicle elongation of germinated lettuce seeds at the concentrations around 1 ~ 10 μg ml−1.
This is a preview of subscription content, access via your institution
Access options
Subscribe to this journal
Receive 12 print issues and online access
$259.00 per year
only $21.58 per issue
Buy this article
- Purchase on SpringerLink
- Instant access to the full article PDF.
USD 39.95
Prices may be subject to local taxes which are calculated during checkout




References
Vind K, Maffioli S, Ciruelos BF, Waschulin V, Brunati C, Simone M, Sosio M, Donadio S. N-acetyl-cysteinylated streptophenazines from Streptomyces. J Nat Prod. 2022;85:1239–47.
Chervin J, Stierhof M, Tong MH, Peace D, Hansen KØ, Urgast DS, Andersen JH, Yu Y, Ebel R, Kyeremeh K, Paget V, Cimpan G, Wyk AV, Deng H, Jaspars M, Tabudravu JN. Targeted dereplication of microbial natural products by high-resolution MS and predicted LC retention time. J Nat Prod. 2017;80:1370–7.
Saito S, Atsumi K, Zhou T, Fukaya K, Urabe D, Oku N, Karim MRU, Komaki H, Igarashi Y. A cyclopeptide and three oligomycin-class polyketides produced by an underexplored actinomycete of the genus Pseudosporangium. Beilstein J Org Chem. 2020;16:1100–10.
Elsbaey M, Oku N, Abdel-Mottaleb MSA, Igarashi Y. Allostreptopyrroles A–E, β-alkylpyrrole derivatives from an actinomycete Allostreptomyces sp. RD068384. Beilstein J Org Chem. 2024;20:1981–7.
Lu S, Tao Z, Fukaya K, Harunari E, Oku N, Urabe D, Igarashi Y. Krasilnikolides A and B and detalosylkrasilnikolide A, cytotoxic 20-membered macrolides from the genus Krasilnikovia: assignment of anomeric configuration by J-based configuration analysis. J Nat Prod. 2022;85:2796–803.
Tamura T, Suzuki S, Hatano K. Acrocarpospora gen. nov., a new genus of the order Actinomycetales. Int J Syst Evol Microbiol. 2000;50:1163–71.
Parte AC, Sardà Carbasse J, Meier-Kolthoff JP, Reimer LC, Göker M. List of prokaryotic names with standing in nomenclature (LPSN) moves to the DSMZ. Int J Syst Evol Microbiol. 2020;70:5607–12.
Cheng MJ, Tseng M, Chen IS, Liao CC, Yuan GF. Secondary metabolites from the culture broth of actinomycete Acrocarpospora sp. FIRDI 001 and their antimicrobial activity. J Chil Chem Soc. 2009;54:198–200.
Cheng MJ, Cheng YC, Hsieh MT, Chen IS, Tseng M, Yuan GF, Chang HS. Chemical constituents of metabolites produced by the actinomycete Acrocarpospora punica. Chem Nat Compd. 2014;50:606–10.
Wu MD, Cheng MJ. Undescribed metabolites from an Actinobacteria Acrocarpospora punica and their anti-inflammatory activity. Molecules. 2022;27:7982.
Cheng MJ, Chen JJ, Wu MD, Leu JY, Tseng M. Antifungal activities of compounds produced by newly isolated Acrocarpospora strains. Antibiotics. 2023;12:95.
List of available RD strains on domestically derived strains. https://www.nite.go.jp/nbrc/cultures/rd/available_rd_list.html (Accessed 4 Jul 2025).
Rohr J, Eick S, Zeeck A. Metabolic products of microorganisms. 249 Tetracenomycins B3 and D3, key intermediates of the elloramycin and tetracenomycin C biosynthesis. J Antibiot. 1988;41:1066–73.
Yoshida S Hatsuga-hakkon-shiken (Germination and rooting test). In Shokubutsu-kagaku-chosetsu-jikkensho (Experimental protocols for chemical regulation of plants); Takahashi N, Ed.; The Japanese Society for Chemical Regulation of Plants: Tokyo, 1989;139–45.
Liu C, Zhang Z, Fukaya K, Oku N, Harunari E, Urabe D, Igarashi Y. Isolation and structure determination of allopteridic acids A–C and allokutzmicin from an unexplored actinomycete of the genus Allokutzneria. J Antibiot. 2023;76:305–15.
Liu C, Zhang Z, Fukaya K, Urabe D, Harunari E, Oku N, Igarashi Y. Catellatolactams A−C, plant growth-promoting ansamacrolactams from a rare actinomycete of the genus Catellatospora. J Nat Prod. 2022;85:1993–9.
Lu S, Harunari E, Oku N, Igarashi Y. Trehangelin E, a bisacyl trehalose with plant growth promoting activity from a rare actinomycete Polymorphospora sp. RD064483. J Antibiot. 2022;75:296–300.
Boukhatem ZF, Merabet C, Tsaki H. Plant growth promoting actinobacteria, the most promising candidates as bioinoculants?. Front Agron. 2022;4:849911.
Weber W, Zahner H, Siebers J, Schroder K, Zeeck A: Tetracenomycins—new antibiotics from Streptomyces glaucescens. In Actinomycetes, Zbl Bakt Suppl. 11. Eds., Schaal KP and Pulverer G Gustav Fischer Verlag, Stuttgart, 1981; 465–8.
Yue S, Motamedi H, Wendt-Pienkowski E, Hutchinson CR. Anthracycline metabolites of tetracenomycin C-nonproducing Streptomyces glaucescens mutants. J Bacteriol. 1986;167:581–6.
Author information
Authors and Affiliations
Corresponding author
Ethics declarations
Conflict of interest
The authors declare no competing interests.
Additional information
Publisher’s note Springer Nature remains neutral with regard to jurisdictional claims in published maps and institutional affiliations.
Supplementary information
Rights and permissions
About this article
Cite this article
Triningsih, D.W., Atsumi, K., Zhang, Z. et al. Tetracenomycin Y, a plant growth-promoting tetracenedione from a rare actinomycete of the genus Acrocarpospora. J Antibiot (2026). https://doi.org/10.1038/s41429-026-00913-3
Received:
Revised:
Accepted:
Published:
Version of record:
DOI: https://doi.org/10.1038/s41429-026-00913-3