Fig. 2
From: Reference values for body composition in healthy urban Mexican children and adolescents

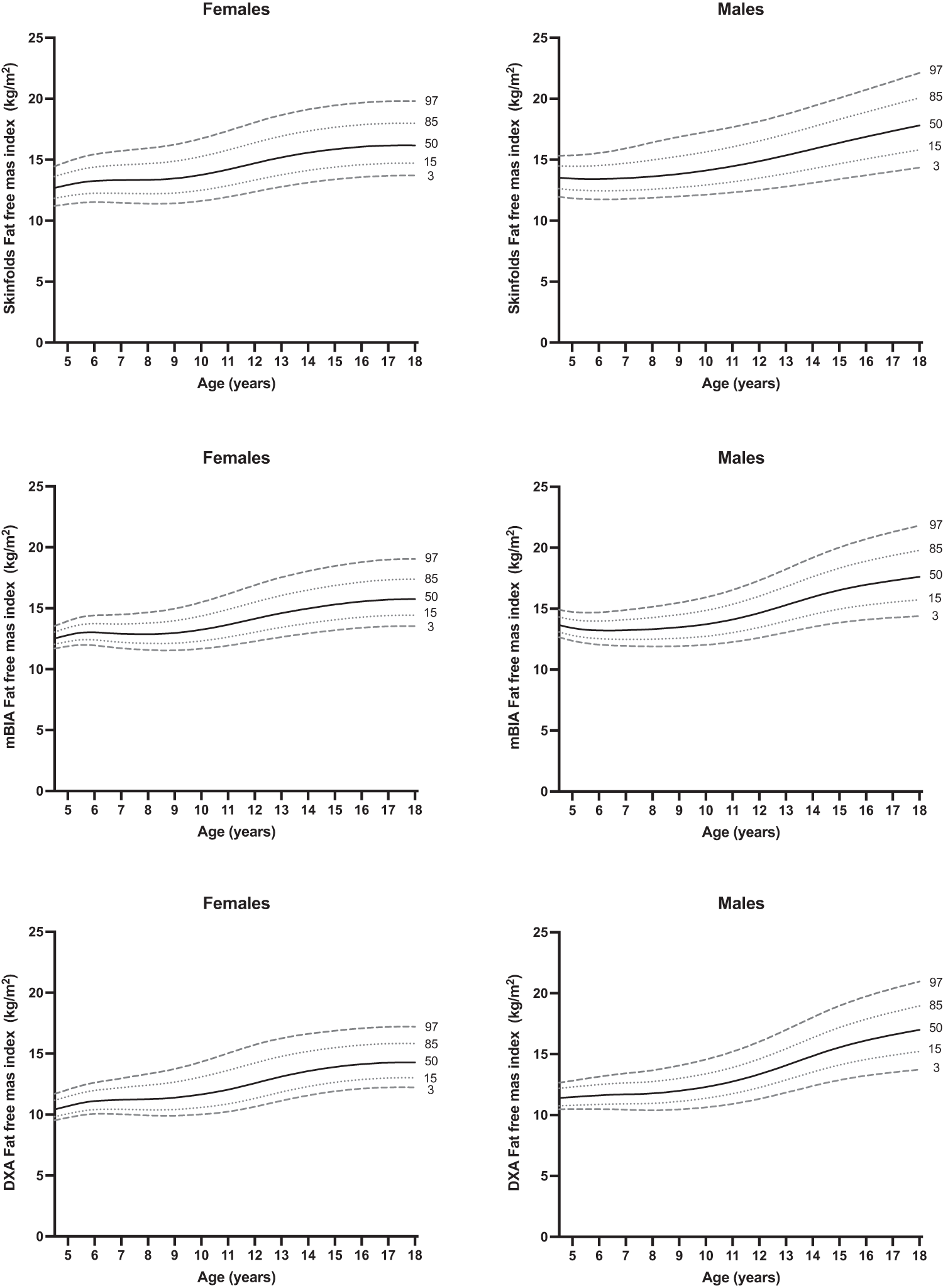
Percentile curves of fat-free mass index by skinfold thickness (upper), MF-BIA (middle) and DXA (lower) for females (left panels) and males (right panels).