Abstract
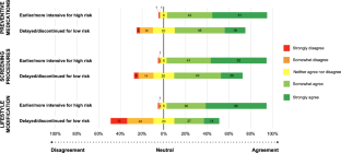
Polygenic risk scores (PRS) may improve risk-stratification in preventive care. Their clinical implementation will depend on primary care physicians’ (PCPs) uptake. We surveyed PCPs in a national physician database about the perceived clinical utility, benefits, and barriers to the use of PRS in preventive care. Among 367 respondents (participation rate 96.3%), mean (SD) age was 54.9 (12.9) years, 137 (37.3%) were female, and mean (SD) time since medical school graduation was 27.2 (13.3) years. Respondents reported greater perceived utility for more clinical action (e.g., earlier or more intensive screening, preventive medications, or lifestyle modification) for patients with high-risk PRS than for delayed or discontinued prevention actions for low-risk patients (p < 0.001). Respondents most often chose out-of-pocket costs (48%), lack of clinical guidelines (24%), and insurance discrimination concerns (22%) as extreme barriers. Latent class analysis identified 3 subclasses of respondents. Skeptics (n = 83, 22.6%) endorsed less agreement with individual clinical utilities, saw patient anxiety and insurance discrimination as significant barriers, and agreed less often that PRS could help patients make better health decisions. Learners (n = 134, 36.5%) and enthusiasts (n = 150, 40.9%) expressed similar levels of agreement that PRS had utility for preventive actions and that PRS could be useful for patient decision-making. Compared with enthusiasts, however, learners perceived greater barriers to the clinical use of PRS. Overall results suggest that PCPs generally endorse using PRS to guide medical decision-making about preventive care, and barriers identified suggest interventions to address their needs and concerns.
This is a preview of subscription content, access via your institution
Access options
Subscribe to this journal
Receive 12 print issues and online access
$259.00 per year
only $21.58 per issue
Buy this article
- Purchase on SpringerLink
- Instant access to the full article PDF.
USD 39.95
Prices may be subject to local taxes which are calculated during checkout




Similar content being viewed by others
Data availability
The dataset supporting the current study has not been deposited in a public repository but is available from the corresponding author on reasonable request.
References
Lewis ACF, Green RC, Vassy JL. Polygenic risk scores in the clinic: Translating risk into action. Hum Genet Genomics Adv 2021;2:100047.
Lewis CM, Vassos E. Polygenic risk scores: from research tools to clinical instruments. Genome Med. 2020;12:44.
Lambert SA, Abraham G, Inouye M. Towards clinical utility of polygenic risk scores. Hum Mol Genet. 2019;28:R133–42.
Khera AV, Chaffin M, Aragam KG, Haas ME, Roselli C, Choi SH, et al. Genome-wide polygenic scores for common diseases identify individuals with risk equivalent to monogenic mutations. Nat Genet. 2018;50:1219–24.
Conti DV, Darst BF, Moss LC, Saunders EJ, Sheng X, Chou A, et al. Trans-ancestry genome-wide association meta-analysis of prostate cancer identifies new susceptibility loci and informs genetic risk prediction. Nat Genet. 2021;53:65–75.
Mavaddat N, Michailidou K, Dennis J, Lush M, Fachal L, Lee A, et al. Polygenic Risk Scores for Prediction of Breast Cancer and Breast Cancer Subtypes. Am J Hum Genet. 2019;104:21–34.
Wojcik GL, Graff M, Nishimura KK, Tao R, Haessler J, Gignoux CR, et al. Genetic analyses of diverse populations improves discovery for complex traits. Nature. 2019;570:514–8.
National Human Genome Research Institute. Polygenic RIsk MEthods in Diverse populations (PRIMED) Consortium. Accessed July 2, 2021. https://www.genome.gov/Funded-Programs-Projects/PRIMED-Consortium
Ruan Y, Lin YF, Feng YCA, Chen CY, Lam M, Guo Z, et al. Improving polygenic prediction in ancestrally diverse populations. Nat Genet. 2022;54:573–80.
Hao L, Kraft P, Berriz GF, Hynes ED, Koch C, Korategere P, et al. Development of a clinical polygenic risk score assay and reporting workflow. Nat Med. 2022;28:1006–13.
National Human Genome Research Institute (NHGRI). Electronic Medical Records and Genomics (eMERGE) Network. Published February 23, 2020. Accessed November 9, 2022. https://www.genome.gov/Funded-Programs-Projects/Electronic-Medical-Records-and-Genomics-Network-eMERGE
Widén E, Junna N, Ruotsalainen S, Surakka IDA, Mars N, Ripatti P, et al. How Communicating Polygenic and Clinical Risk for Atherosclerotic Cardiovascular Disease Impacts Health Behavior: an Observational Follow-up Study. Circ Genomic Precis Med. 0:CIRCGEN.121.003459. https://doi.org/10.1161/CIRCGEN.121.003459
Maamari DJ, Brockman DG, Aragam K, Pelletier RC, Folkerts E, Neben C, et al. Clinical Implementation of Combined Monogenic and Polygenic Risk Disclosure for Coronary Artery Disease. JACC Adv. 2022;1:100068.
Muse ED, Chen SF, Liu S, Fernandez B, Schrader B, Molparia B, et al. Impact of polygenic risk communication: an observational mobile application-based coronary artery disease study. NPJ Digit Med. 2022;5:30.
Hughes E, Tshiaba P, Wagner S, Judkins T, Rosenthal E, Roa B, et al. Integrating Clinical and Polygenic Factors to Predict Breast Cancer Risk in Women Undergoing Genetic Testing. JCO Precis Oncol. 2021;5:PO.20.00246. https://doi.org/10.1200/PO.20.00246
Mujwara D, Henno G, Vernon ST, Peng S, Domenico PD, Schroeder B, et al. Integrating a polygenic risk score for coronary artery disease as a risk-enhancing factor in the pooled cohort equation: A cost-effectiveness analysis study. J Am Heart Assoc. 2022;11:e025236.
Xu J, Resurreccion WK, Shi Z, Wei J, Wang CH, Zheng SL, et al. Inherited risk assessment and its clinical utility for predicting prostate cancer from diagnostic prostate biopsies. Prostate Cancer Prostat Dis. 2022;25:422–30.
O’Sullivan JW, Raghavan S, Marquez-Luna C, Luzum JA, Damrauer SM, Ashley EA, et al. Polygenic risk scores for cardiovascular disease: A scientific statement from the American Heart Association. Circulation. 2022;146:e93–e118.
Kiflen M, Le A, Mao S, Lali R, Narula S, Xie F, et al. Cost-effectiveness of polygenic risk scores to guide statin therapy for cardiovascular disease prevention. Circ Genom Precis Med. 2022;15:386–95.
Callender T, Emberton M, Morris S, Eeles R, Kote-Jarai Z, Pharoah PDP, et al. Polygenic risk-tailored screening for prostate cancer: A benefit–harm and cost-effectiveness modelling study. PLoS Med. 2019;16:e1002998.
Eysenbach G. Improving the quality of Web surveys: the Checklist for Reporting Results of Internet E-Surveys (CHERRIES). J Med Internet Res. 2004;6:e34.
Kerman BJ, Brunette CA, Harris EJ, Antwi AA, Lemke AA, Vassy JL. Primary care physician use of patient race and polygenic risk scores in medical decision-making. Genet Med. 2023. https://doi.org/10.1016/j.gim.2023.100800
Fraze TK, Lewis VA, Wood A, Newton H, Colla CH. Configuration and Delivery of Primary Care in Rural and Urban Settings. J Gen Intern Med. 2022;37:3045–53.
Physician Survey on Cancer Susceptibility Testing. Accessed March 9, 2022. https://healthcaredelivery.cancer.gov/susceptibility/
National Survey of Primary Care Physicians’ Recommendations & Practice for Breast, Cervical, Colorectal, & Lung Cancer Screening. Accessed March 9, 2022. https://healthcaredelivery.cancer.gov/screening_rp/
Grant RW, Hivert M, Pandiscio JC, Florez JC, Nathan DM, Meigs JB. The clinical application of genetic testing in type 2 diabetes: a patient and physician survey. Diabetologia. 2009;52:2299–305.
Lemke AA, Amendola LM, Kuchta K, Dunnenberger HM, Thompson J, Johnson C, et al. Primary care physician experiences with integrated population-scale genetic testing: A Mixed-Methods Assessment. J Pers Med. 2020;10:165.
Mikat-Stevens NA, Larson IA, Tarini BA. Primary-care providers’ perceived barriers to integration of genetics services: a systematic review of the literature. Genet Med J Am Coll Med Genet. 2015;17:169–76.
Christensen KD, Vassy JL, Jamal L, Lehmann LS, Slashinski MJ, Perry DL, et al. Are physicians prepared for whole genome sequencing? a qualitative analysis. Clin Genet. 2016;89:228–34.
Collins LM, Lanza ST. Latent Class and Latent Transition Analysis: With Applications in the Social, Behavioral, and Health Sciences | Wiley.; 2009. Accessed March 22, 2022. https://www.wiley.com/en-us/Latent+Class+and+Latent+Transition+Analysis%3A+With+Applications+in+the+Social%2C+Behavioral%2C+and+Health+Sciences-p-9780470228395
Musiienko A Commission Bias. In: Raz M, Pouryahya P, eds. Decision Making in Emergency Medicine: Biases, Errors and Solutions. Springer; 2021:77-82. https://doi.org/10.1007/978-981-16-0143-9_13
Blumenthal-Barby JS, Krieger H. Cognitive Biases and Heuristics in Medical Decision Making: A Critical Review Using a Systematic Search Strategy. Med Decis Mak. 2015;35:539–57.
Laza-Vásquez C, Codern-Bové N, Cardona-Cardona À, Hernández-Leal MJ, Pérez-Lacasta MR, Carles-Lavila M, et al. Views of health professionals on risk-based breast cancer screening and its implementation in the Spanish National Health System: A qualitative discussion group study. PloS One. 2022;17:e0263788.
McWilliams L, Woof VG, Donnelly LS, Howell A, Evans DG, French DP. Risk stratified breast cancer screening: UK healthcare policy decision-making stakeholders’ views on a low-risk breast screening pathway. BMC Cancer. 2020;20:680.
Hall AE, Chowdhury S, Hallowell N, Pashayan N, Dent T, Pharoah P, et al. Implementing risk-stratified screening for common cancers: A review of potential ethical, legal and social issues. J Public Health. 2014;36:285–91.
Hauser D, Obeng AO, Fei K, Ramos MA, Horowitz CR. Views Of primary care providers on testing patients for genetic risks for common chronic diseases. Health Aff Proj Hope. 2018;37:793–800.
Puryear L, Downs N, Nevedal A, Lewis ET, Ormond KE, Bregendahl M, et al. Patient and provider perspectives on the development of personalized medicine: a mixed-methods approach. J Community Genet. 2018;9:283–91.
Nisselle A, King EA, McClaren B, Janinski M, Metcalfe S, Gaff C, et al. Measuring physician practice, preparedness and preferences for genomic medicine: a national survey. BMJ Open. 2021;11:e044408.
Woof VG, McWilliams L, Donnelly LS, Howell A, Evans DG, Maxwell AJ, et al. Introducing a low-risk breast screening pathway into the NHS Breast Screening Programme: Views from healthcare professionals who are delivering risk-stratified screening. Womens Health Lond Engl. 2021;17:17455065211009746. https://doi.org/10.1177/17455065211009746
Carroll JC, Makuwaza T, Manca DP, Sopcak N, Permaul JA, O’Brien MA, et al. Primary care providers’ experiences with and perceptions of personalized genomic medicine. Can Fam Physician. 2016;62:e626–35.
Erdmann A, Rehmann-Sutter C, Bozzaro C. Patients’ and professionals’ views related to ethical issues in precision medicine: a mixed research synthesis. BMC Med Ethics. 2021;22:116.
Hamilton JG, Abdiwahab E, Edwards HM, Fang ML, Jdayani A, Breslau ES. Primary care providers’ cancer genetic testing-related knowledge, attitudes, and communication behaviors: A systematic review and research agenda. J Gen Intern Med. 2017;32:315–24.
Green RC, Lautenbach D, McGuire AL. GINA, genetic discrimination, and genomic medicine. N. Engl J Med. 2015;372:397–9.
Slunecka JL, van der Zee MD, Beck JJ, Johnson BN, Finnicum CT, Pool R, et al. Implementation and implications for polygenic risk scores in healthcare. Hum Genomics. 2021;15:46.
Joly Y, Huerne K, Arych M, Bombard Y, Dove E, Granados Moreno P, et al. The Genetic Discrimination Observatory: confronting novel issues in genetic discrimination. Trends Genet TIG. 2021;37:951–4.
Bonter K, Desjardins C, Currier N, Pun J, Ashbury FD. Personalised medicine in Canada: a survey of adoption and practice in oncology, cardiology and family medicine. BMJ Open. 2011;1:e000110.
Hickner J, Thompson PJ, Wilkinson T, Epner P, Sheehan M, Pollock A, et al. Primary care physicians’ challenges in ordering clinical laboratory tests and interpreting results. J Am Board Fam Med JABFM. 2014;27:268–74.
Haga SB, Kim E, Myers RA, Ginsburg GS. Primary Care physicians’ knowledge, attitudes, and experience with personal genetic testing. J Pers Med. 2019;9:29.
Davern M. Nonresponse rates are a problematic indicator of nonresponse bias in survey research. Health Serv Res. 2013;48:905–12.
Funding
This work was funded by National Institutes of Health / National Human Genome Research Institute grant R35 HG010706.
Author information
Authors and Affiliations
Contributions
CRediT category: Conceptualization: JLV, BJK; Data curation: EJH, KI, TY; Formal analysis: CAB; Funding acquisition: JLV, BJK; Investigation: JLV, BJK, EJH; Methodology: JLV, BJK, EJH, AAL, MLC, JLV; Project administration: EJH, AAA; Software: EJH, TY, CAB; Supervision: JLV; Validation: EJH, CAB; Visualization: JLV, BJK, EJH, KI, TY, CAB; Writing - original draft: JLV, CAB; Writing - review & editing: JLV, BJK, EJH, AAL, MLC, AAA, KI, TY, CAB.
Corresponding author
Ethics declarations
Competing interests
The authors declare no conflicts of interest. JLV, MLC, AAA, TY, and CAB are employees of the U.S. Department of Veterans Affairs (VA). The views expressed in this manuscript do not represent those of the U.S. government or VA.
Ethical approval
The study was approved by the Harvard Longwood Campus Institutional Review Board (Protocol #20-2098). All participants consented to participation in the research.
Additional information
Publisher’s note Springer Nature remains neutral with regard to jurisdictional claims in published maps and institutional affiliations.
Rights and permissions
About this article
Cite this article
Vassy, J.L., Kerman, B.J., Harris, E.J. et al. Perceived benefits and barriers to implementing precision preventive care: Results of a national physician survey. Eur J Hum Genet 31, 1309–1316 (2023). https://doi.org/10.1038/s41431-023-01318-8
Received:
Revised:
Accepted:
Published:
Version of record:
Issue date:
DOI: https://doi.org/10.1038/s41431-023-01318-8
This article is cited by
-
Polygenic risk scores in the clinic: a systematic review of stakeholders’ perspectives, attitudes, and experiences
European Journal of Human Genetics (2025)
-
Future implications of polygenic risk scores for life insurance underwriting
npj Genomic Medicine (2024)
-
The acceptability and clinical impact of using polygenic scores for risk-estimation of common cancers in primary care: a systematic review
Journal of Community Genetics (2024)
-
Deep phenotyping and population-level data can help resolve genomic variants
European Journal of Human Genetics (2023)


