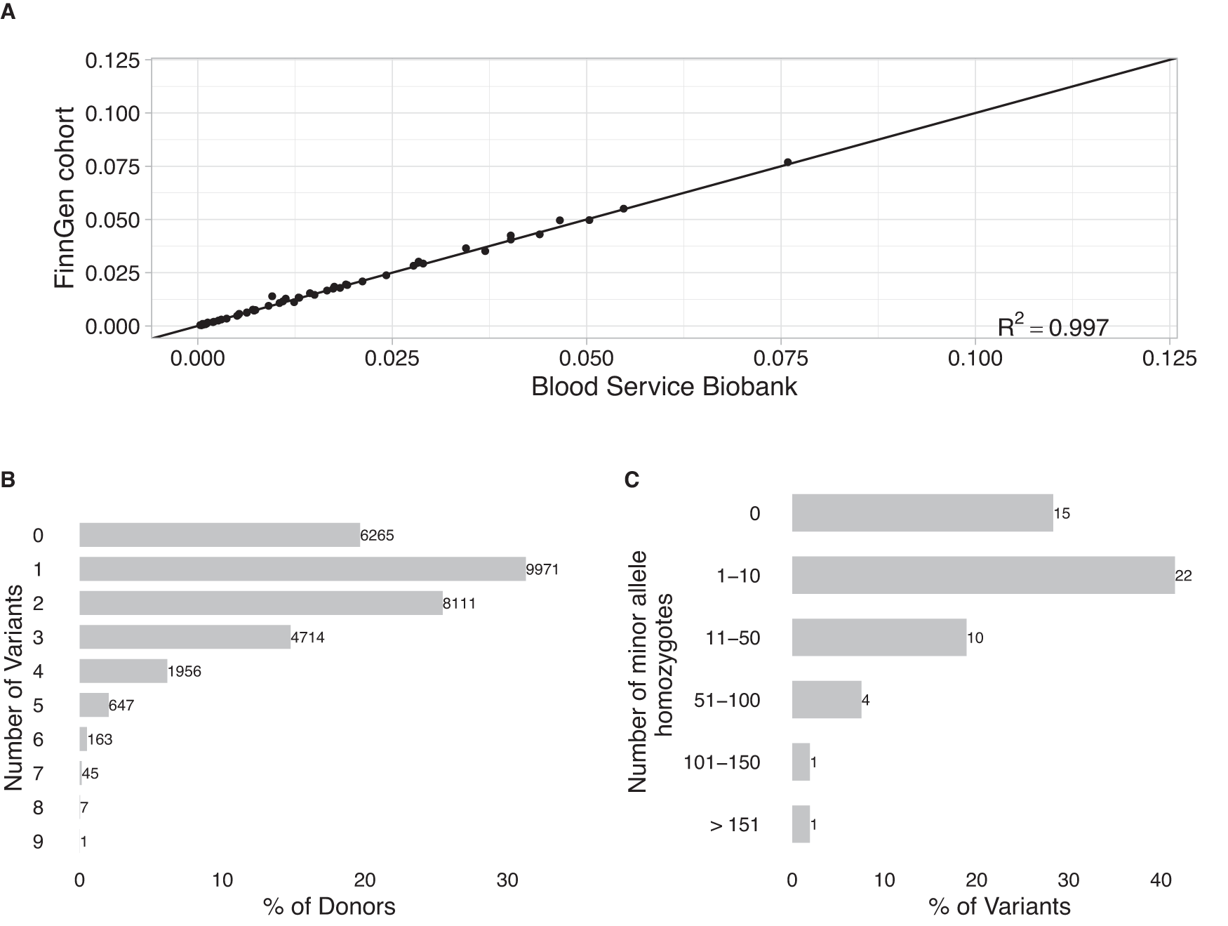
Fig. 2: Fifty-three rare Finnish enriched disease-associated variants in Blood Service Biobank.
From: Blood donor biobank as a resource in personalised biomedical genetic research

A Linear regression equation of the minor allele frequencies in Blood Service Biobank and FinnGen cohort. B Amount of variants carried by donors in Blood Service Biobank C Amount of the 53 variants homozygous for the minor allele in blood donor Biobank.