Abstract
Aim/Objective
This review assessed the quality and findings of systematic reviews on AI in dentistry, categorising advancements across various specialties.
Methods
The review analyzed data from seven databases, assessed review quality with ROBIS, calculated pooled AI performance estimates, and identified research gaps through an Evidence Gap Map.
Results
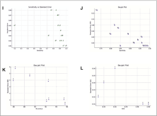
This study analysed 116 included systematic reviews. Meta-analysis of twelve low-bias reviews showed AI diagnostic accuracy ranging from 82% to 95% across dental specialties. The pooled sensitivity and specificity of AI algorithms for dental diagnostics were 0.85 (95% CI: 0.76–0.93) and 0.93 (95% CI: 0.90–0.95), respectively. Advanced models, particularly Convolutional Neural Networks (CNN), demonstrated a pooled accuracy of 93.1% (95% CI: 91.19–95.05%). Corrected Covered Area analysis indicated low overlap among reviews (10%), reflecting the diverse applications of AI in dentistry. Significant heterogeneity across pooled sensitivity (I2 = 98.26%), specificity (I2 = 87.49%), area under the curve (I2 = 86.62%) and accuracy (I2 = 75.86%) were observed.
Discussion
AI shows strong diagnostic accuracy across dental specialties like caries detection, cephalometric landmark identification, and oral lesion diagnosis, with pooled sensitivity (0.85), specificity (0.93), and AUC (0.95) values. Advanced AI models like CNNs, Artificial Neural Networks, and larger, diverse datasets improve diagnostic accuracy, especially in image classification. Addressing research gaps and standardising methods are key to optimizing AI’s clinical impact.
Conclusion
This review reinforces AI’s transformative potential in dentistry, enhancing tasks like diagnosis, detection, and prognosis, particularly in caries and lesion detection, to improve clinical decision-making and patient outcomes.
This is a preview of subscription content, access via your institution
Access options
Subscribe to this journal
Receive 4 print issues and online access
$259.00 per year
only $64.75 per issue
Buy this article
- Purchase on SpringerLink
- Instant access to the full article PDF.
USD 39.95
Prices may be subject to local taxes which are calculated during checkout





Similar content being viewed by others
Data availability
All data supporting the findings of this study are available from the corresponding author upon reasonable request and are largely included within the article and its supplementary materials.
References
Schwendicke F, Golla T, Dreher M, Krois J. Convolutional neural networks for dental image diagnostics: A scoping review. J Dent. 2019;91:103226. https://doi.org/10.1016/j.jdent.2019.103226.
WHO 2021. AI in Healthcare. https://www.who.int/news/item/28-06-2021-who-issues-first-global-report-on-ai-in-health-and-six-guiding-principles-for-its-design-and-use#:~:text=Artificial%20Intelligence%20%28AI%29%20holds%20great%20promise%20for%20improving,use%2C%20according%20to%20new%20WHO%20guidance%20published%20today. Accessed in December 2024.
Xie B, Xu D, Zou XQ, Lu MJ, Peng XL, Wen XJ. Artificial intelligence in dentistry: A bibliometric analysis from 2000 to 2023. J Dent Sci. 2024;19:1722–33. https://doi.org/10.1016/j.jds.2023.10.025.
Rocha AO, Anjos LMD, Zatt FP, Santos PS, Vitali FC, Henriques B, et al. Artificial intelligence applications in dentistry: A bibliometric review with an emphasis on computational research trends within the field. J Am Dent Assoc. 2024;155:755–764.e5. https://doi.org/10.1016/j.adaj.2024.05.013.
Büttner M, Leser U, Schneider L, Schwendicke F. Natural language processing: chances and challenges in dentistry. J Dent. 2024;141:104796 https://doi.org/10.1016/j.jdent.2023.104796.
Schwendicke F, Samek W, Krois J. Artificial Intelligence in Dentistry: Chances and Challenges. J Dent Res. 2020;99:769–74. https://doi.org/10.1177/0022034520915714.
Ghods K, Azizi A, Jafari A, Ghods K. Application of Artificial Intelligence in clinical dentistry, a comprehensive review of literature. J Dent). 2023;24:356–371. https://doi.org/10.30476/dentjods.2023.96835.1969.
Mohammad-Rahimi H, Motamedian SR, Rohban MH, Krois J, Uribe SE, Mahmoudinia E, et al. Deep learning for caries detection: A systematic review. J Dent. 2022;122:104115. https://doi.org/10.1016/j.jdent.2022.104115.
Revilla-León M, Gómez-Polo M, Vyas S, Barmak BA, Galluci GO, Att W, et al. Artificial intelligence applications in implant dentistry: A systematic review. J Prosthet Dent. 2023;129:293–300. https://doi.org/10.1016/j.prosdent.2021.05.008.
Revilla-León M, Gómez-Polo M, Vyas S, Barmak AB, Gallucci GO, Att W, et al. Artificial intelligence models for tooth-supported fixed and removable prosthodontics: A systematic review. J Prosthet Dent. 2023;129:276–92. https://doi.org/10.1016/j.prosdent.2021.06.001.
Revilla-León M, Gómez-Polo M, Barmak AB, Inam W, Kan JYK, Kois JC, et al. Artificial intelligence models for diagnosing gingivitis and periodontal disease: A systematic review. J Prosthet Dent. 2023;130:816–24. https://doi.org/10.1016/j.prosdent.2022.01.026.
Fusar-Poli P, Radua J. Ten simple rules for conducting review reviews. Evid Based Ment Health. 2018;21:95–100. https://doi.org/10.1136/ebmental-2018-300014.
Botero JE, Rodríguez C, Agudelo-Suarez AA, et al. Periodontal treatment and glycaemic control in patients with diabetes and periodontitis: a systematic review. Aust Dent J. 2016;61:134–48. https://doi.org/10.1111/adj.12413.
Pollock M, Fernandes RM, Pieper D, Tricco AC, Gates M, Gates A, et al. Preferred Reporting Items for Overviews of Reviews (PRIOR): a protocol for development of a reporting guideline for overviews of reviews of healthcare interventions. Syst Rev. 2019;8:335. https://doi.org/10.1186/s13643-019-1252-9.
Page MJ, McKenzie JE, Bossuyt PM, Boutron I, Hoffmann TC, Mulrow CD, et al. The PRISMA 2020 statement: an updated guideline for reporting systematic reviews. BMJ. 2021;372:n71 https://doi.org/10.1136/bmj.n71.
Whiting P, Savović J, Higgins JP, Caldwell DM, Reeves BC, Shea B, et al. ROBIS: A new tool to assess risk of bias in systematic reviews was developed. J Clin Epidemiol. 2016;69:225–34. https://doi.org/10.1016/j.jclinepi.2015.06.005.
Pieper D, Antoine SL, Mathes T, Neugebauer EA, Eikermann M. Systematic review finds overlapping reviews were not mentioned in every other overview. J Clin Epidemiol. 2014;67:368–75. https://doi.org/10.1016/j.jclinepi.2013.11.007.
Boston RC, Sumner AE. STATA: a statistical analysis system for examining biomedical data. Adv Exp Med Biol. 2023;537:353–69. https://doi.org/10.1007/978-1-4419-9019-8_23.
von Hippel PT. The heterogeneity statistic I(2) can be biased in small meta-analyses. BMC Med Res Methodol. 2015;15:35. https://doi.org/10.1186/s12874-015-0024-z.
Higgins JP, Thompson SG. Quantifying heterogeneity in a meta-analysis. Stat Med. 2002;21:1539–58. https://doi.org/10.1002/sim.1186.
Higgins JP, Thompson SG, Deeks JJ, Altman DG. Measuring inconsistency in meta-analyses. BMJ. 2003;327:557–60. https://doi.org/10.1136/bmj.327.7414.557.
Ioannidis JP, Patsopoulos NA, Evangelou E. Uncertainty in heterogeneity estimates in meta-analyses. BMJ. 2007;335:914–6. https://doi.org/10.1136/bmj.39343.408449.80.
Reyes LT, Knorst JK, Ortiz FR, Ardenghi. Machine learning in the diagnosis and prognostic prediction of dental caries: a systematic review. Caries Res. 2022;56:161–70. https://doi.org/10.1159/000524167.
Evangelista K, de Freitas Silva BS, Yamamoto-Silva FP, Valladares-Neto J, Silva MAG, Cevidanes LHS. Accuracy of artificial intelligence for tooth extraction decision-making in orthodontics: a systematic review and meta-analysis. Clin Oral Investig. 2022;26:6893–905. https://doi.org/10.1007/s00784-022-04742-0.
Schwendicke F, Rossi JG, Krois J, Basso M, Peric T, Turkun LS, et al. ADR e-oral health network and the ITU WHO focus group AI for Health, Artificial intelligence in dental research: Checklist for authors, reviewers, readers. J Dent. 2021;107:103614.
Funding
This research received no specific grant from any funding agency in the public, commercial, or not-for-profit sectors.
Author information
Authors and Affiliations
Contributions
AS: Contributed to conception, design, data acquisition, analysis, and interpretation, drafted and critically revised the manuscript. TK: contributed to the analysis or interpretation of data and critically revised the manuscript, and gave final approval. AF: contributed to the interpretation of data and critically revised the manuscript, and gave final approval. RA: Contributed to conception, design, interpretation, and critically revised the manuscript and gave final approval. All authors gave their final approval and agree to be accountable for all aspects of the work.
Corresponding author
Ethics declarations
COMPETING INTERESTS
The authors declare no competing interests.
Additional information
Publisher’s note Springer Nature remains neutral with regard to jurisdictional claims in published maps and institutional affiliations.
Supplementary information
Rights and permissions
Springer Nature or its licensor (e.g. a society or other partner) holds exclusive rights to this article under a publishing agreement with the author(s) or other rightsholder(s); author self-archiving of the accepted manuscript version of this article is solely governed by the terms of such publishing agreement and applicable law.
About this article
Cite this article
Saikia, A., Kvist, T., Fawzy, A. et al. Artificial Intelligence in dentistry: an overview of systematic reviews and meta-analysis. Evid Based Dent 26, 180 (2025). https://doi.org/10.1038/s41432-025-01190-z
Received:
Revised:
Accepted:
Published:
Version of record:
Issue date:
DOI: https://doi.org/10.1038/s41432-025-01190-z


