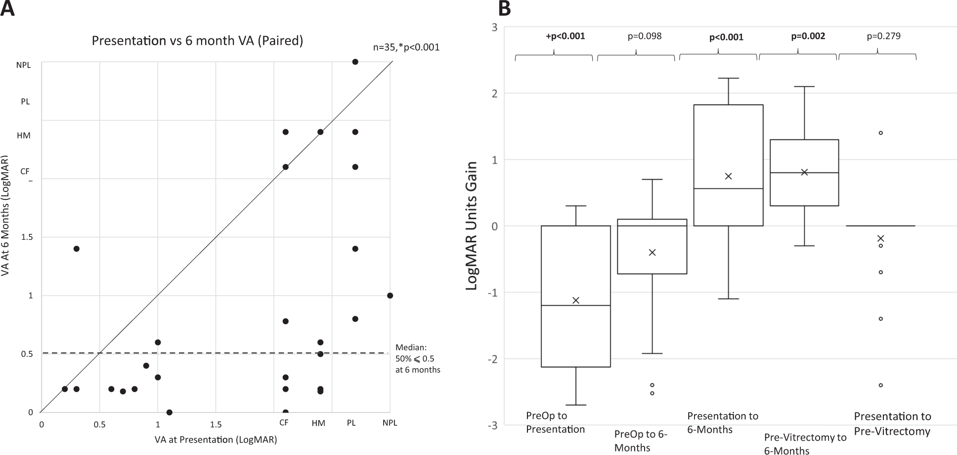
Fig. 2: Comparing paired visual acuity of patients at different time points.

*Wilcoxon Signed Rank Test, Bonferroni critical p value 0.05 (a), 0.01 (b). Statistical significance in bold. a Scatterplot of paired presentation vs. 6-month VA. Median VA 0.5: 50% of patients achieved vision equal or better than 0.5 LogMAR. b Box and Whisker plot of paired VA LogMAR units gain at different time points. ‘X’ denotes mean.