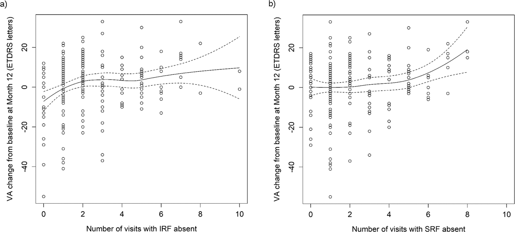
Fig. 2: Association between absence of IRF and SRF and change in VA from baseline to month 12.

Graphical representation of the association between number of clinic visits (N = 321 eyes) with absence of either IRF (a) or SRF (b) and VA change from baseline at the end of the first year of treatment with anti-VEGF therapies (month 12). ETDRS Early Treatment Diabetic Retinopathy Study, IRF intraretinal fluid, SRF subretinal fluid, VA visual acuity.