Abstract
Purpose
To quantify stereopsis and other visual functions in patients with unilateral branch retinal vein occlusion (BRVO) and to investigate vision-related parameters that affect stereopsis.
Design
Prospective observational study.
Subjects
Forty-five patients undergoing intravitreal ranibizumab (IVR) treatment for unilateral BRVO.
Methods
We examined stereopsis using the Titmus stereo test (TST) and TNO stereotest (TNO), best corrected visual acuity (BCVA), letter contrast sensitivity, severity of metamorphopsia and degree of aniseikonia before and 6 months after IVR.
Main outcome measures
Visual functions that affect stereopsis.
Results
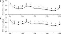
Baseline stereopsis in patients with BRVO was 2.7 ± 0.6 (range, 1.6–3.5) in the TST and 2.8 ± 0.5 (range, 1.8–3.3) in TNO. TST and TNO scores were significantly correlated with BCVA and letter contrast sensitivity at baseline (P < 0.001) but not with other visual functions. IVR treatment significantly improved stereopsis, BCVA, and letter contrast sensitivity. After treatment, TST scores were significantly correlated with BCVA (P < 0.001), letter contrast sensitivity (P < 0.001), and aniseikonia (P < 0.01). TNO scores were significantly correlated with BCVA (P < 0.01) and letter contrast sensitivity (P < 0.01). TST and TNO scores after treatment were significantly correlated with BCVA at baseline (P < 0.01 for both).
Conclusions
Deterioration of stereopsis in patients with BRVO was associated with changes in visual acuity and contrast sensitivity after treatment. Initial visual acuity is a prognostic factor for posttreatment stereopsis.
Similar content being viewed by others
Log in or create a free account to read this content
Gain free access to this article, as well as selected content from this journal and more on nature.com
or
References
Rabena MD, Pieramici DJ, Castellarin AA, Nasir MA, Avery RL. Intravitreal bevacizumab (Avastin) in the treatment of macular edema secondary to branch retinal vein occlusion. Retina 2007;27:419–25.
Morikawa S, Okamoto F, Sugiura Y, Murakami T, Hiraoka T, Oshika T. Stereopsis after intravitreal ranibizumab injections for branch retinal vein occlusion. Ophthalmol Retin. 2019;3:777–83.
Noma H, Funatsu H, Harino S, Nagaoka T, Mimura T, Hori S. Influence of macular microcirculation and retinal thickness on visual acuity in patients with branch retinal vein occlusion and macular edema. Jpn J Ophthalmol. 2010;54:430–4.
Sugiura Y, Okamoto F, Murakami T, Morikawa S, Hiraoka T, Oshika T. Time course of changes in contrast sensitivity following intravitreal ranibizumab injection for branch retinal vein occlusion. Jpn J Ophthalmol. 2020;64:497–505.
Preti RC, Ramirez LM, Pimentel SL, Motta AA, Machado CG, Monteiro ML. Single intravitreal bevacizumab injection effects on contrast sensitivity in macular edema from branch retinal vein occlusion. Arq Bras Oftalmol. 2012;75:29–32.
Sugiura Y, Okamoto F, Morikawa S, Okamoto Y, Hiraoka T, Oshika T. Time course of changes in metamorphopsia following intravitreal ranibizumab injection for branch retinal vein occlusion. Retina 2018;38:1581–7.
Lam AK, Chau AS, Lam WY, Leung GY, Man BS. Effect of naturally occurring visual acuity differences between two eyes in stereoacuity. Ophthalmic Physiol Opt. 1996;16:189–95.
Donzis PB, Rappazzo JA, Burde RM, Gordon M. Effect of binocular variations of Snellen’s visual acuity on Titmus stereoacuity. Arch Ophthalmol. 1983;101:930–2.
Larson WL, Bolduc M. Effect of induced blur on visual acuity and stereoacuity. Optom Vis Sci. 1991;68:294–8.
Levy NS, Glick EB. Stereoscopic perception and Snellen visual acuity. Am J Ophthalmol. 1974;78:722–4.
Goodwin RT, Romano PE. Stereoacuity degradation by experimental and real monocular and binocular amblyopia. Investig Ophthalmol Vis Sci. 1985;26:917–23.
Erickson P, McGill EC. Role of visual acuity, stereoacuity, and ocular dominance in monovision patient success. Optom Vis Sci. 1992;69:761–4.
Katsumi O, Tanino T, Hirose T. Effect of aniseikonia on binocular function. Investig Ophthalmol Vis Sci. 1986;27:601–4.
Lovasik JV, Szymkiw M. Effects of aniseikonia, anisometropia, accommodation, retinal illuminance, and pupil size on stereopsis. Investig Ophthalmol Vis Sci. 1985;26:741–50.
Weinman J, Cooke V. Eye dominance and stereopsis. Perception 1982;11:207–10.
Pierce DM. Comparability of two methods of estimating real-depth acuity. Ophthalmologica 1975;171:224–35.
Kani W. Stereopsis and spatial perception in amblyopes and uncorrected ametropes. Br J Ophthalmol. 1978;62:756–62.
Asaria R, Garnham L, Gregor ZJ, Sloper JJ. A prospective study of binocular visual function before and after successful surgery to remove a unilateral epiretinal membrane. Ophthalmology 2008;115:1930–7.
Okamoto F, Sugiura Y, Okamoto Y, Hiraoka T, Oshika T. Stereopsis and optical coherence tomography findings after epiretinal membrane surgery. Retina 2015;35:1415–21.
Hikichi T, Onodera A, Ishiko S, Fujio N, Mori F, Yoshida A. Stereo acuity in patients with unilateral macular hole and after unilateral macular hole surgery. Graefes Arch Clin Exp Ophthalmol. 2001;239:128–32.
Mireskandari K, Garnham L, Sheard R, Ezra E, Gregor ZJ, Sloper JJ. A prospective study of the effect of a unilateral macular hole on sensory and motor binocular function and recovery following successful surgery. Br J Ophthalmol. 2004;88:1320–4.
Watanabe H, Okamoto F, Sugiura Y, Hoshi S, Okamoto Y, Hiraoka T, et al. Stereopsis after successful surgery for rhegmatogenous retinal detachment. Graefes Arch Clin Exp Ophthalmol. 2014;252:1207–12.
Matsumoto C, Arimura E, Okuyama S, Takada S, Hashimoto S, Shimomura Y. Quantification of metamorphopsia in patients with epiretinal membranes. Investig Ophthalmol Vis Sci. 2003;44:4012–6.
Arimura E, Matsumoto C, Okuyama S, Takada S, Hashimoto S, Shimomura Y. Retinal contraction and metamorphopsia scores in eyes with idiopathic epiretinal membrane. Investig Ophthalmol Vis Sci. 2005;46:2961–6.
Brown DM, Campochiaro PA, Bhisitkul RB, Ho AC, Gray S, Saroj N, et al. Sustained benefits from ranibizumab for macular edema following branch retinal vein occlusion: 12-month outcomes of a phase III study. Ophthalmology 2011;118:1594–602.
Heier JS, Campochiaro PA, Yau L, Li Z, Saroj N, Rubio RG, et al. Ranibizumab for macular edema due to retinal vein occlusions: long-term follow-up in the HORIZON trial. Ophthalmology 2012;119:802–9.
Tan MH, McAllister IL, Gillies ME, Verma N, Banerjee G, Smithies LA, et al. Randomized controlled trial of intravitreal ranibizumab versus standard grid laser for macular edema following branch retinal vein occlusion. Am J Ophthalmol. 2014;157:237–47.
Osaka R, Manabe K, Manabe S, Nakano Y, Takasago Y, Shiragami C, et al. Persistent metamorphopsia associated with branch retinal vein occlusion. PLoS ONE. 2018;13:e0204015.
Amemiya T, Takami H, Yoshida H, Harayama K. Binocular visual function after surgery for detached retina. Graefes Arch Clin Exp Ophthalmol. 1982;218:304–6.
Burian HM. Anomalous retinal correspondence. Its essence and its significance in diagnosis and treatment. Am J Ophthalmol. 1951;34:237–53.
Stevenson SB, Cormack LK. A contrast paradox in stereopsis, motion detection, and vernier acuity. Vis Res. 2000;40:2881–4.
Schor C, Heckmann T. Interocular differences in contrast and spatial frequency: effects on stereopsis and fusion. Vis Res. 1989;29:837–47.
Halpern DL, Blake RR. How contrast affects stereoacuity. Perception 1988;17:483–95.
Legge GE, Gu YC. Stereopsis and contrast. Vis Res. 1989;29:989–1004.
Simons K. Effects on stereopsis of monocular versus binocular degradation of image contrast. Investig Ophthalmol Vis Sci. 1984;25:987–9.
Rutstein RP. Retinally induced aniseikonia: a case series. Optom Vis Sci. 2012;89:e50–5.
Brooks SE, Johnson D, Fischer N. Anisometropia and binocularity. Ophthalmology 1996;103:1139–43.
Author information
Authors and Affiliations
Corresponding author
Ethics declarations
Conflict of interest
The authors declare no competing interests.
Additional information
Publisher’s note Springer Nature remains neutral with regard to jurisdictional claims in published maps and institutional affiliations.
Rights and permissions
About this article
Cite this article
Morikawa, S., Okamoto, F., Murakami, T. et al. Visual functions affecting stereopsis in patients with branch retinal vein occlusion. Eye 36, 457–462 (2022). https://doi.org/10.1038/s41433-021-01452-x
Received:
Revised:
Accepted:
Published:
Version of record:
Issue date:
DOI: https://doi.org/10.1038/s41433-021-01452-x
This article is cited by
-
Measurement of paracentral stereopsis using a new method with the binocular open perimeter imovifa® in normal adults
Japanese Journal of Ophthalmology (2024)
-
Binocular metamorphopsia in patients with branch retinal vein occlusion: a multi-center study
International Ophthalmology (2023)


