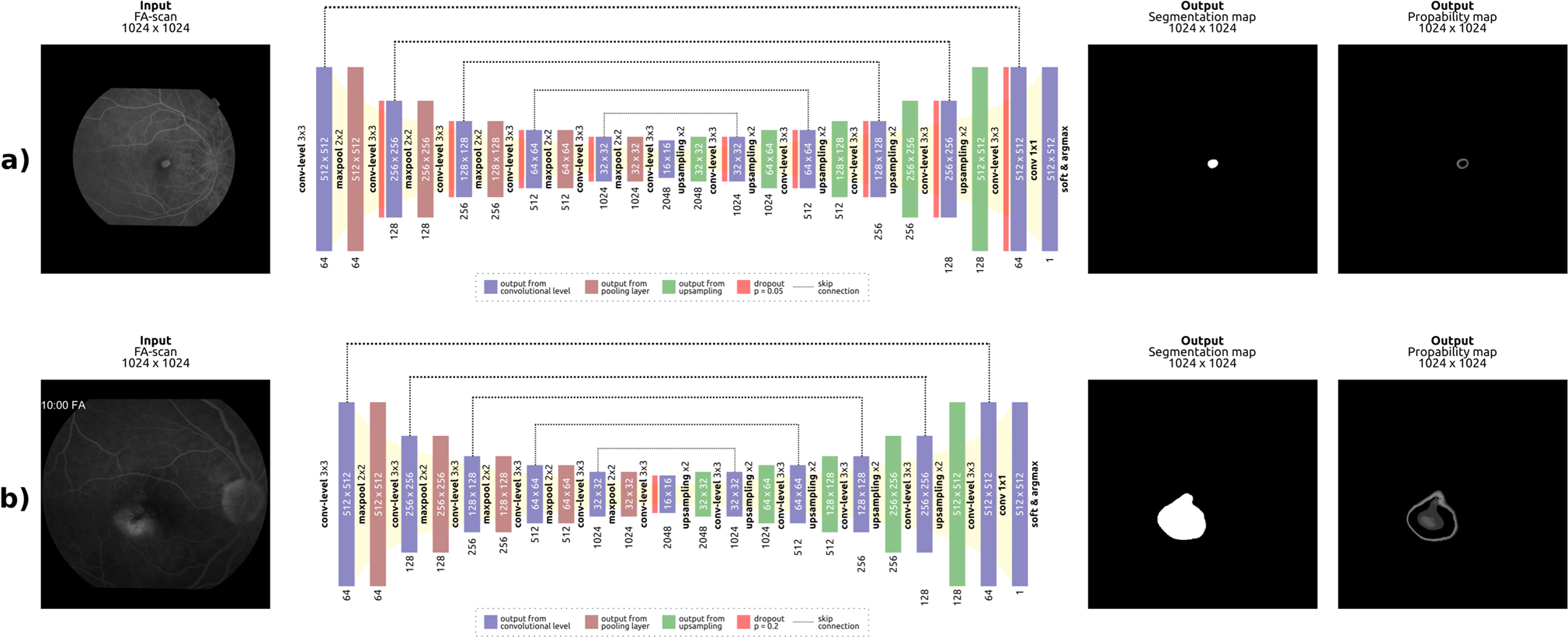
Fig. 1: Overview of the network.

Overview of the proposed deep learning model for (a) CNV lesion size and (b) leakage area segmentation. The input image is shown on the left-hand side, while the model output is illustrated on the right hand side, consisting of a binary segmentation and an uncertainty map. The model provides an uncertainty estimation of the prediction for each pixel.