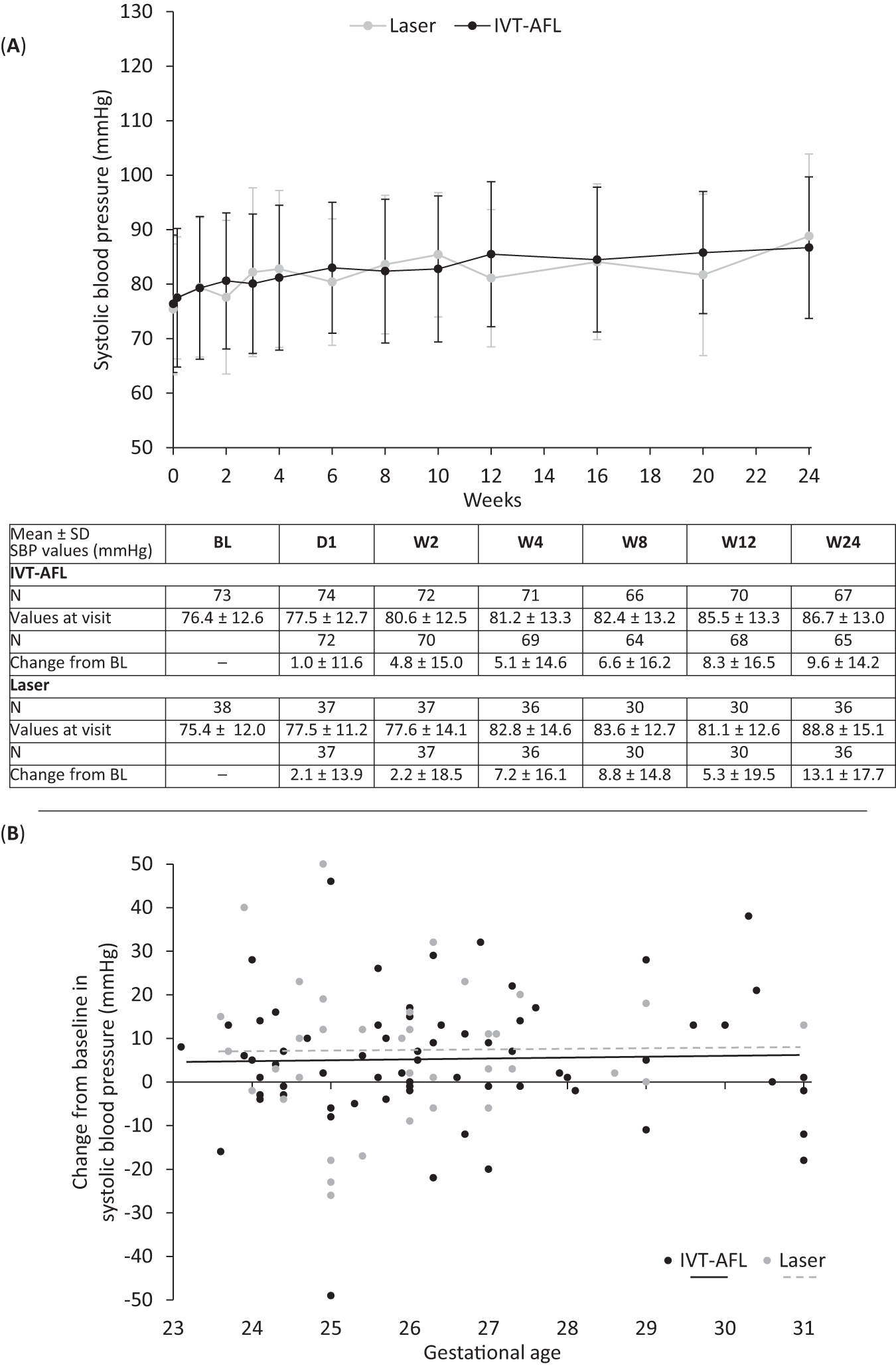
Fig. 3: Systolic blood pressure.

A Arithmetic mean ± SD systolic blood pressure through week 24 in infants with retinopathy of prematurity in both treatment groups (aflibercept vs. laser photocoagulation) and B mean change from baseline in systolic blood pressure at week 4 after baseline treatment according to gestational age at birth. BL baseline, D day, N number of observations, SBP systolic blood pressure, W week. In panel A, n = 73 (baseline), n = 74 (day 1), n = 72 (week 1), n = 72 (week 2), n = 71 (week 3), n = 71 (week 4), n = 71 (week 6), n = 66 (week 8), n = 66 (week 10), n = 70 (week 12), n = 69 (week 16), n = 63 (week 20), n = 67 (week 24) for aflibercept and n = 38 (baseline), n = 37 (day 1), n = 37 (week 1), n = 37 (week 2), n = 37 (week 3), n = 36 (week 4), n = 34 (week 6), n = 30 (week 8), n = 30 (week 10), n = 30 (week 12), n = 34 (week 16), n = 30 (week 20), n = 36 (week 24) for laser. Data are not shown for infants whose BP was taken outside scheduled study visits. Week 1, day 1: n = 2 (aflibercept) and n = 2 (laser); week 2, day 1: n = 1 (aflibercept); week 3, day 1: n = 1 (laser); week 4, day 1: n = 2 (aflibercept); week 5, n = 4 (aflibercept) and n = 2 (laser); week 5, day 1: n = 1 (aflibercept) and n = 2 (laser); week 6, day 1: n = 1 (aflibercept) and n = 2 (laser); week 7: n = 2 (aflibercept) and n = 1 (laser); week 8, day 1, n = 1 (aflibercept); week 9: n = 1 (aflibercept) and n = 1 (laser); week 10, day 1: n = 3 (aflibercept) and n = 1 (laser); week 11: n = 5 (aflibercept); week 11, day 1: n = 3 (aflibercept); week 12, day 1: n = 3 (aflibercept); week 13: n = 2 (aflibercept); week 14: n = 3 (aflibercept); week 14, day 1: n = 1 (aflibercept); week 15: n = 2 (aflibercept); week 15, day 1: n = 1 (aflibercept); week 16, day 1: n = 4 (aflibercept); week 17: n = 4 (aflibercept); week 18: n = 1 (aflibercept). All data are shown in Supplementary eFig. 5. In panel B, individual observations in the aflibercept and laser groups are shown by black and gray circles, respectively. The dotted line depicts the regression line for laser; the solid line, the regression line for aflibercept.