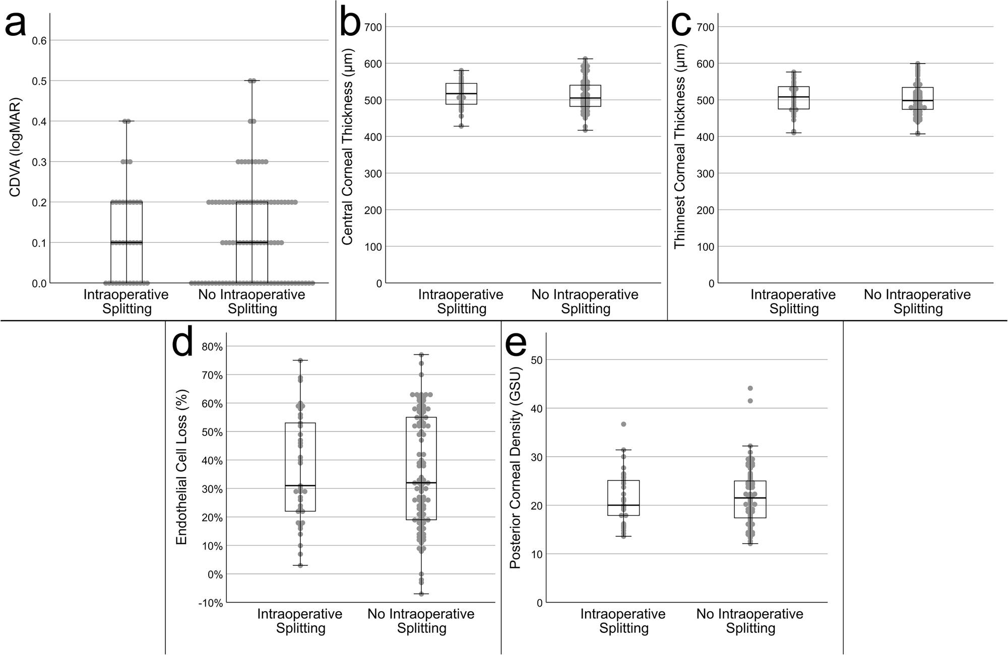
Fig. 2: Comparison of outcome parameters four months after Descemet Membrane Endothelial Keratoplasty (DMEK) depending on the intraoperative occurrence of splitting of the recipient’s Descemet Membrane.

a Corrected distance visual acuity (CDVA) measured in logarithm of the minimum angle of resolution (logMAR). b Central corneal thickness measured by Scheimpflug tomography. c Thinnest corneal thickness measured by Scheimpflug tomography. d Endothelial cell loss calculated by dividing the endothelial cell density measured with a specular microscope four months after DMEK by the preoperative endothelial cell density of the graft. e Density values of the posterior 60 µm of the corneal stroma measured by Scheimpflug tomography. GSU Gray scale units.