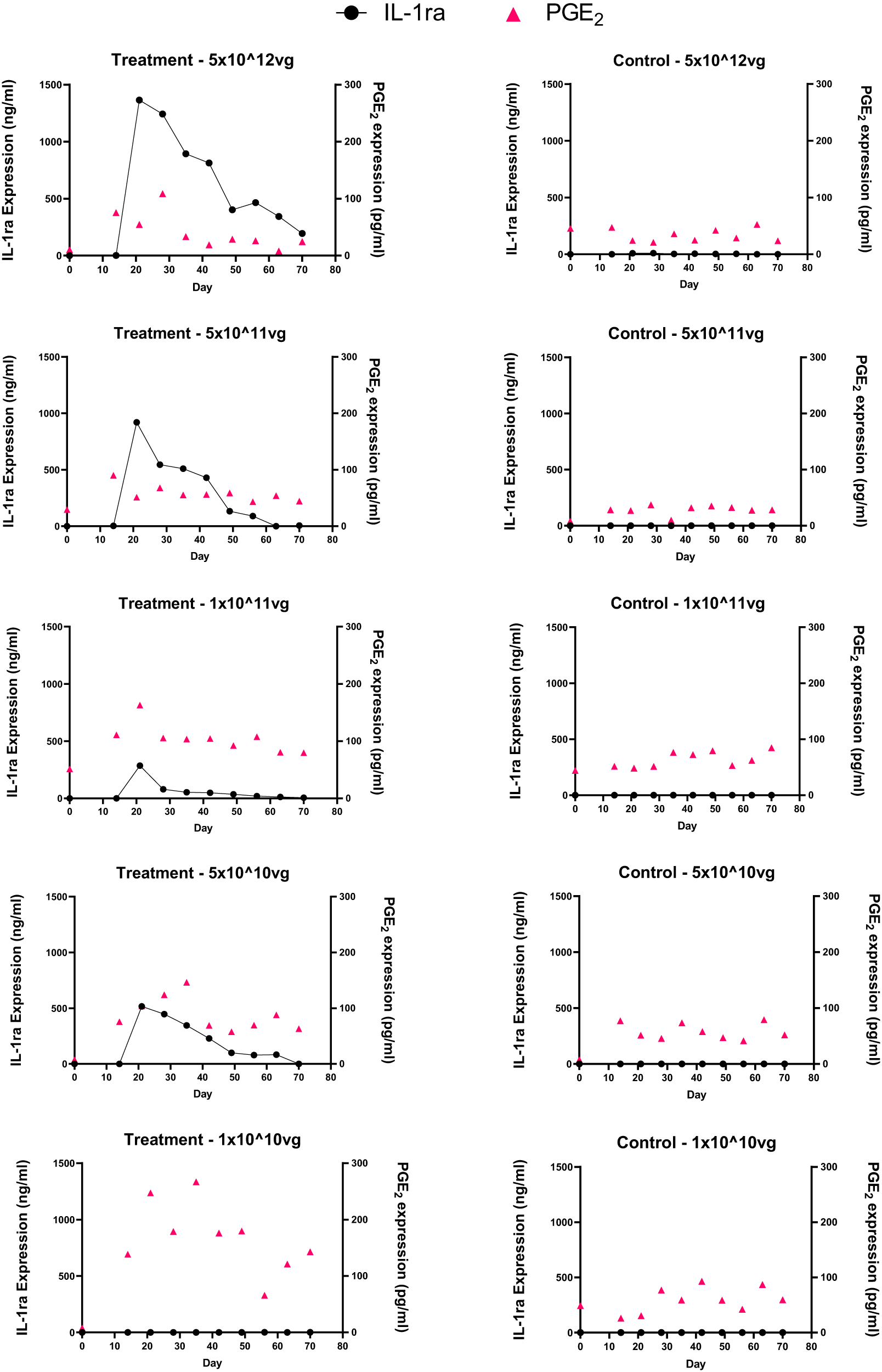
Fig. 2: Mean IL-1ra (ng ml−1) (left axis) and mean PGE2 (pg ml−1) (right axis) levels in all five doses tested (left panel) along with the corresponding sham-operated control limb synovial fluid samples (right panel).

Synovial fluid IL-1ra levels (black circles) increased with increasing viral dose, and PGE2 levels (red triangles) showed a decrease with increasing viral dose. IL-1ra levels tapered off to baseline towards the end of the study in all dosed OA joints. IL-1ra and PGE2 levels were not different between sham-operated control joints throughout the study period.