Abstract
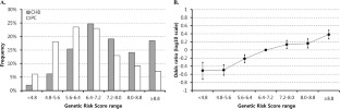
Chronic hepatitis B (CHB) is a precursor to liver cirrhosis and hepatocellular carcinoma, caused by a Hepatitis B viral infection. Genome-wide association studies (GWASs) have been conducted to find genes associated with CHB risk. In previous GWAS, EHMT2 was identified as one of the susceptibility genes for CHB. To further characterize this association and discover possible causal variants, we conducted an additional association study. A total of 11 EHMT2 single-nucleotide polymorphisms (SNP) were selected and genotyped in 3902 subjects (1046 CHB patients and 2856 controls). An additional eight imputed SNPs were also included in further analysis. As a result, rs35875104 showed a strong association with the CHB, along with the previously reported genetic marker for CHB risk, rs652888 (odds ratio (OR) = 0.53, P = 2.20 × 10−8 at rs35875104 and OR = 1.58, P = 9.90 × 10−12 at rs652888). In addition, linkage disequilibrium and conditional analysis identified one SNP (rs35875104) as a novel genetic marker for CHB susceptibility. The GRSs (genetic risk scores) were calculated to visualize the combined genetic effects of all known CHB-associated loci, including EHMT2 rs35875104, which was additionally identified in this study. The findings from the present study may be useful for further understanding of the genetic etiology of CHB.
This is a preview of subscription content, access via your institution
Access options
Subscribe to this journal
Receive 6 digital issues and online access to articles
$119.00 per year
only $19.83 per issue
Buy this article
- Purchase on SpringerLink
- Instant access to the full article PDF.
USD 39.95
Prices may be subject to local taxes which are calculated during checkout

Similar content being viewed by others
References
Kane MA. [World-wide epidemiology of hepatitis B]. Soz Praventivmed. 1998;43(Suppl 1):S98–100 S24-6.
Chu CM, Karayiannis P, Fowler MJ, Monjardino J, Liaw YF, Thomas HC. Natural history of chronic hepatitis B virus infection in Taiwan: studies of hepatitis B virus DNA in serum. Hepatology. 1985;5:431–4.
Hadziyannis SJ, Vassilopoulos D, Hepatitis B e antigen-negative chronic hepatitis B. Hepatology.2001;34:617–24.
Liaw YF, Leung N, Kao JH, Piratvisuth T, Gane E, Han KH, et al Asian-Pacific consensus statement on the management of chronic hepatitis B: a 2008 update. Hepatol Int. 2008;2:263–83.
Kamatani Y, Wattanapokayakit S, Ochi H, Kawaguchi T, Takahashi A, Hosono N, et al A genome-wide association study identifies variants in the HLA-DP locus associated with chronic hepatitis B in Asians. Nat Genet. 2009;41:591–5.
Mbarek H, Ochi H, Urabe Y, Kumar V, Kubo M, Hosono N, et al A genome-wide association study of chronic hepatitis B identified novel risk locus in a Japanese population. Hum Mol Genet. 2011;20:3884–92.
Liu L, Li J, Yao J, Yu J, Zhang J, Ning Q, et al A genome-wide association study with DNA pooling identifies the variant rs11866328 in the GRIN2A gene that affects disease progression of chronic HBV infection. Viral Immunol. 2011;24:397–402.
Kim YJ, Kim HY, Lee JH, Yu SJ, Yoon JH, Lee HS, et al. A genome-wide association study identified new variants associated with the risk of chronic hepatitis B. Hum Mol Genet. 2013;22:4233–8.
Jones PL, Veenstra GJ, Wade PA, Vermaak D, Kass SU, Landsberger N, et al. Methylated DNA and MeCP2 recruit histone deacetylase to repress transcription. Nat Genet. 1998;19:187–91.
Jaenisch R, Bird A. Epigenetic regulation of gene expression: how the genome integrates intrinsic and environmental signals. Nat Genet. 2003;33:245–54.
Cebrian A, Pharoah PD, Ahmed S, Ropero S, Fraga MF, Smith PL, et al. Genetic variants in epigenetic genes and breast cancer risk. Carcinogenesis. 2006;27:1661–9.
de Vogel S, Wouters KA, Gottschalk RW, van Schooten FJ, de Goeij AF, de Bruine AP, et al. Genetic variants of methyl metabolizing enzymes and epigenetic regulators: associations with promoter CpG island hypermethylation in colorectal cancer. Cancer Epidemiol Biomarkers Prev. 2009;18:3086–96.
Lee SH, Kim J, Kim WH, Lee YM. Hypoxic silencing of tumor suppressor RUNX3 by histone modification in gastric cancer cells. Oncogene. 2009;28:184–94.
Chen MW, Hua KT, Kao HJ, Chi CC, Wei LH, Johansson G, et al. H3K9 histone methyltransferase G9a promotes lung cancer invasion and metastasis by silencing the cell adhesion molecule Ep-CAM. Cancer Res. 2010;70:7830–40.
Mann DA. Epigenetics in liver disease. Hepatology. 2014;60:1418–25.
Son HJ, Kim JY, Hahn Y, Seo SB. Negative regulation of JAK2 by H3K9 methyltransferase G9a in leukemia. Mol Cell Biol. 2012;32:3681–94.
Dong C, Wu Y, Yao J, Wang Y, Yu Y, Rychahou PG, et al. G9a interacts with Snail and is critical for Snail-mediated E-cadherin repression in human breast cancer. J Clin Invest. 2012;122:1469–86.
Yuan Y, Tang AJ, Castoreno AB, Kuo SY, Wang Q, Kuballa P, et al. Gossypol and an HMT G9a inhibitor act in synergy to induce cell death in pancreatic cancer cells. Cell Death Dis. 2013;4:e690.
Hung SY, Lin HH, Yeh KT, Chang JG. Histone-modifying genes as biomarkers in hepatocellular carcinoma. Int J Clin Exp Pathol. 2014;7:2496–507.
Kouzarides T. Histone methylation in transcriptional control. Curr Opin Genet Dev. 2002;12:198–209.
Zhang Q, Lei X, Lu H. Alterations of epigenetic signatures in hepatocyte nuclear factor 4alpha deficient mouse liver determined by improved ChIP-qPCR and (h)MeDIP-qPCR assays. PLoS ONE. 2014;9:e84925.
Yu X, Mertz JE. Distinct modes of regulation of transcription of hepatitis B virus by the nuclear receptors HNF4alpha and COUP-TF1. J Virol. 2003;77:2489–99.
Jiang DK, Ma XP, Yu H, Cao G, Ding DL, Chen H, et al. Genetic variants in five novel loci including CFB and CD40 predispose to chronic hepatitis B. Hepatology. 2015;62:118–28.
Posuwan N, Payungporn S, Tangkijvanich P, Ogawa S, Murakami S, Iijima S, et al. Genetic association of human leukocyte antigens with chronicity or resolution of hepatitis B infection in thai population. PLoS ONE. 2014;9:e86007.
Yoshida K, Sanada M, Shiraishi Y, Nowak D, Nagata Y, Yamamoto R, et al. Frequent pathway mutations of splicing machinery in myelodysplasia. Nature. 2011;478:64–9.
Cheong HS, Lee JH, Yu SJ, Yoon JH, Lee HS, Cheong JY, et al. Association of VARS2-SFTA2 polymorphisms with the risk of chronic hepatitis B in a Korean population. Liver Int. 2015;35:1934–40.
Fava C, Sjogren M, Olsson S, Lovkvist H, Jood K, Engstrom G, et al. A genetic risk score for hypertension associates with the risk of ischemic stroke in a Swedish case-control study. Eur J Hum Genet. 2015;23:969–74.
Zhou XJ, Qi YY, Hou P, Lv JC, Shi SF, Liu LJ, et al. Cumulative effects of variants identified by genome-wide association studies in IgA nephropathy. Sci Rep. 2014;4:4904.
El-Serag HB, Rudolph KL. Hepatocellular carcinoma: epidemiology and molecular carcinogenesis. Gastroenterology. 2007;132:2557–76.
Guerrieri F, Belloni L, Pediconi N, Levrero M. Molecular mechanisms of HBV-associated hepatocarcinogenesis. Semin Liver Dis. 2013;33:147–56.
Herath NI, Leggett BA, MacDonald GA. Review of genetic and epigenetic alterations in hepatocarcinogenesis. J Gastroenterol Hepatol. 2006;21:15–21.
Kondo Y, Shen L, Suzuki S, Kurokawa T, Masuko K, Tanaka Y, et al. Alterations of DNA methylation and histone modifications contribute to gene silencing in hepatocellular carcinomas. Hepatol Res. 2007;37:974–83.
Bruix J, Sherman M. Management of hepatocellular carcinoma: an update. Hepatology. 2011;53:1020–2.
Barrett JC, Fry B, Maller J, Daly MJ. Haploview: analysis and visualization of LD and haplotype maps. Bioinformatics. 2005;21:263–5.
Howie BN, Donnelly P, Marchini J. A flexible and accurate genotype imputation method for the next generation of genome-wide association studies. PLoS Genet. 2009;5(6):e1000529.
Stephens M, Smith NJ, Donnelly P. A new statistical method for haplotype reconstruction from population data. Am J Hum Genet. 2001;68(4):978–89.
Acknowledgements
We thank the patients and their parents without whom this study would not have been possible. This research was supported by a grant of the Korea Health Technology R&D Project through the Korea Health Industry Development Institute (KHIDI), funded by the Ministry of Health & Welfare, Republic of Korea (No. HI16C1074, No. A101023); Korea Science and Engineering Foundation (KOSEF), funded by the Korean government (MEST; No. 2011-0004453); a Sogang University Research Grant for 2011 (SRF-201114006.01); and the SNUH Research Fund (04-2016-0300).
Author contributions
Conceived and designed the experiments: Y.J.K. and H.D.S. Performed the experiments: J.G.S., H.S.C., J.Y.K., S.N., and L.H.K. Analyzed the data: J.G.S., H.S.C., and H.D.S. Provided and cared for study patients: J.H.L., S.J.Y., J.H.Y., J.Y.C., S.W.C., N.H.P., and Y.J.K. Contributed to the writing of the manuscript: J.G.S., Y.J.K., and H.D.S.
Author information
Authors and Affiliations
Corresponding authors
Ethics declarations
Competing interests
The authors declare that they have no competing financial interest.
Electronic supplementary material
Rights and permissions
About this article
Cite this article
Shin, JG., Cheong, H.S., Kim, J.Y. et al. Identification of additional EHMT2 variant associated with the risk of chronic hepatitis B by GWAS follow-up study. Genes Immun 20, 1–9 (2019). https://doi.org/10.1038/s41435-017-0004-x
Received:
Revised:
Accepted:
Published:
Issue date:
DOI: https://doi.org/10.1038/s41435-017-0004-x
This article is cited by
-
HLA-B*39:01:01 is a novel risk factor for antithyroid drug-induced agranulocytosis in Japanese population
The Pharmacogenomics Journal (2021)
-
Cross-cancer evaluation of polygenic risk scores for 16 cancer types in two large cohorts
Nature Communications (2021)
-
A non-synonymous variant rs12614 of complement factor B associated with risk of chronic hepatitis B in a Korean population
BMC Medical Genetics (2020)


