Abstract
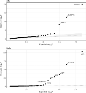
Blood group antigens are inherited traits that may play a role in immune and inflammatory processes. We investigated associations between blood groups and circulating inflammation-related molecules in 3537 non-Hispanic white participants selected from the Prostate, Lung, Colorectal, and Ovarian Cancer Screening Trial. Whole-genome scans were used to infer blood types for 12 common antigen systems based on well-characterized single-nucleotide polymorphisms. Serum levels of 96 biomarkers were measured on multiplex fluorescent bead-based panels. We estimated marker associations with blood type using weighted linear or logistic regression models adjusted for age, sex, smoking status, and principal components of population substructure. Bonferroni correction was used to control for multiple comparisons, with two-sided p values < 0.05 considered statistically significant. Among the 1152 associations tested, 10 were statistically significant. Duffy blood type was associated with levels of CXCL6/GCP2, CXCL5/ENA78, CCL11/EOTAXIN, CXCL1/GRO, CCL2/MCP1, CCL13/MCP4, and CCL17/TARC, whereas ABO blood type was associated with levels of sVEGFR2, sVEGFR3, and sGP130. Post hoc pairwise t-tests showed that individuals with type Fy(a+b−) had the lowest mean levels of all Duffy-associated markers, while individuals with type A blood had the lowest mean levels of all ABO-associated markers. Additional work is warranted to explore potential clinical implications of these differences.
This is a preview of subscription content, access via your institution
Access options
Subscribe to this journal
Receive 6 digital issues and online access to articles
$119.00 per year
only $19.83 per issue
Buy this article
- Purchase on SpringerLink
- Instant access to the full article PDF.
USD 39.95
Prices may be subject to local taxes which are calculated during checkout



Similar content being viewed by others
Code availability
Code used for analyses can be accessed at https://github.com/sarahVanAlsten/blood_type_inflammation.
Change history
16 August 2021
The names of Sarah C. Van Alsten and M. Constanza Camargo were given incorrect in HTML version of the article. Correct is by Sarah C. Van Alsten : Given name: Sarah C. Family name: Van Alsten and by M. Constanza Camargo Given name: M. Constanza Family name: Camargo.
References
Nydegger UE, Tevaearai H, Berdat P, Rieben R, Carrel T, Mohacsi P, et al. Histo-blood group antigens as allo- and autoantigens. Ann N Y Acad Sci. 2005;1050:40–51. https://doi.org/10.1196/annals.1313.006.
Poole J, Daniels G. Blood group antibodies and their significance in transfusion medicine. Transfus Med Rev. 2007;21:58–71. https://doi.org/10.1016/j.tmrv.2006.08.003.
Cooling L. Blood groups in infection and host susceptibility. Clin Microbiol Rev. 2015;28:801–70. https://doi.org/10.1128/CMR.00109-14.
Bohmig GA, Farkas AM, Eskandary F, Wekerle T. Strategies to overcome the abo barrier in kidney transplantation. Nat Rev Nephrol. 2015;11:732–47. https://doi.org/10.1038/nrneph.2015.144.
Hendrickson JE, Delaney M. Hemolytic disease of the fetus and newborn: modern practice and future investigations. Transfus Med Rev. 2016;30:159–64. https://doi.org/10.1016/j.tmrv.2016.05.008.
King CL, Adams JH, Xianli J, Grimberg BT, McHenry AM, Greenberg LJ, et al. Fy(a)/Fy(b) antigen polymorphism in human erythrocyte Duffy antigen affects susceptibility to plasmodium vivax malaria. Proc Natl Acad Sci U S A. 2011;108:20113–8. https://doi.org/10.1073/pnas.1109621108.
Moonens K, Gideonsson P, Subedi S, Bugaytsova J, Romaõ E, Mendez M, et al. Structural insights into polymorphic abo glycan binding by helicobacter pylori. Cell Host Microbe. 2016;19:55–66. https://doi.org/10.1016/j.chom.2015.12.004.
Guillon P, Clement M, Sebille V, Rivain JG, Chou CF, Ruvoen-Clouet N, et al. Inhibition of the interaction between the SARS-CoV spike protein and its cellular receptor by anti-histo-blood group antibodies. Glycobiology. 2008;18:1085–93. https://doi.org/10.1093/glycob/cwn093.
Ellinghaus D, Degenhardt F, Bujanda L, Buti M, Albillos A, Invernizzi P, et al. Genomewide association study of severe COVID-19 with respiratory failure. N Engl J Med. 2020;383:1522–34. https://doi.org/10.1056/NEJMoa2020283.
Kolin DA, Kulm S, Christos PJ, Elemento O. Clinical, regional, and genetic characteristics of COVID-19 patients from UK Biobank. PLOS ONE. 2020;15:e0241264. https://doi.org/10.1371/journal.pone.0241264.
Barnkob MB, Pottegård A, Støvring H, Haunstrup TM, Homburg K, Larsen R, et al. Reduced prevalence of SARS-CoV-2 infection in ABO blood group O. Blood Adv. 2020;4:4990–3. https://doi.org/10.1182/bloodadvances.2020002657.
Hoiland RL, Fergusson NA, Mitra AR, Griesdale DEG, Devine DV, Stukas S, et al. The association of abo blood group with indices of disease severity and multiorgan dysfunction in COVID-19. Blood Adv. 2020;4:4981–9. https://doi.org/10.1182/bloodadvances.2020002623.
Ray JG, Schull MJ, Vermeulen MJ, Park AL. Association between ABO and Rh blood groups and SARS-CoV-2 infection or severe COVID-19 illness. Ann Intern Med. 2021;174:308–15. https://doi.org/10.7326/m20-4511.
Cohen M, Hurtado-Ziola N, Varki A. ABO blood group glycans modulate sialic acid recognition on erythrocytes. Blood. 2009;114:3668–76. https://doi.org/10.1182/blood-2009-06-227041.
Varki A. Biological roles of glycans. Glycobiology. 2017;27:3–49. https://doi.org/10.1093/glycob/cww086.
Melzer D, Perry JR, Hernandez D, Corsi AM, Stevens K, Rafferty I, et al. A genome-wide association study identifies protein quantitative trait loci (pQTLs). PLoS Genet. 2008;4:e1000072. https://doi.org/10.1371/journal.pgen.1000072.
Preston RJ, Rawley O, Gleeson EM, O’Donnell JS. Elucidating the role of carbohydrate determinants in regulating hemostasis: insights and opportunities. Blood. 2013;121:3801–10. https://doi.org/10.1182/blood-2012-10-415000.
Polfus LM, Raffield LM, Wheeler MM, Tracy RP, Lange LA, Lettre G, et al. Whole genome sequence association with e-selectin levels reveals loss-of-function variant in African Americans. Hum Mol Genet. 2019;28:515–23. https://doi.org/10.1093/hmg/ddy360.
Sliz E, Kalaoja M, Ahola-Olli A, Raitakari O, Perola M, Salomaa V, et al. Genome-wide association study identifies seven novel loci associating with circulating cytokines and cell adhesion molecules in Finns. J Med Genet. 2019;56:607–16. https://doi.org/10.1136/jmedgenet-2018-105965.
Kiechl S, Pare G, Barbalic M, Qi L, Dupuis J, Dehghan A, et al. Association of variation at the abo locus with circulating levels of soluble intercellular adhesion molecule-1, soluble p-selectin, and soluble e-selectin: a meta-analysis. Circ Cardiovasc Genet. 2011;4:681–6. https://doi.org/10.1161/CIRCGENETICS.111.960682.
Aslibekyan S, Agha G, Colicino E, Do AN, Lahti J, Ligthart S, et al. Association of methylation signals with incident coronary heart disease in an epigenome-wide assessment of circulating tumor necrosis factor alpha. JAMA Cardiol. 2018;3:463–72. https://doi.org/10.1001/jamacardio.2018.0510.
Fukuma N, Akimitsu N, Hamamoto H, Kusuhara H, Sugiyama Y, Sekimizu K. A role of the Duffy antigen for the maintenance of plasma chemokine concentrations. 2003;303:137–9. https://doi.org/10.1016/s0006-291x(03)00293-6.
Pruenster M, Mudde L, Bombosi P, Dimitrova S, Zsak M, Middleton J, et al. The Duffy antigen receptor for chemokines transports chemokines and supports their promigratory activity. Nat Immunol. 2009;10:101–8. https://doi.org/10.1038/ni.1675.
Comerford I, Nibbs RJ. Post-translational control of chemokines: a role for decoy receptors? Immunol Lett. 2005;96:163–74. https://doi.org/10.1016/j.imlet.2004.08.018.
Comuzzie AG, Cole SA, Laston SL, Voruganti VS, Haack K, Gibbs RA, et al. Novel genetic loci identified for the pathophysiology of childhood obesity in the hispanic population. PLoS ONE. 2012;7:e51954. https://doi.org/10.1371/journal.pone.0051954.
Wang J, Ou ZL, Hou YF, Luo JM, Shen ZZ, Ding J, et al. Enhanced expression of Duffy antigen receptor for chemokines by breast cancer cells attenuates growth and metastasis potential. Oncogene. 2006;25:7201–11. https://doi.org/10.1038/sj.onc.1209703.
Maeda S, Kuboki S, Nojima H, Shimizu H, Yoshitomi H, Furukawa K, et al. Duffy antigen receptor for chemokines (DARC) expressing in cancer cells inhibits tumor progression by suppressing CXCR2 signaling in human pancreatic ductal adenocarcinoma. Cytokine. 2017;95:12–21. https://doi.org/10.1016/j.cyto.2017.02.007.
Addison CL, Belperio JA, Burdick MD, Strieter RM. Overexpression of the Duffy antigen receptor for chemokines (DARC) by NSCLC tumor cells results in increased tumor necrosis. BMC Cancer. 2004;4:28. https://doi.org/10.1186/1471-2407-4-28.
Pavlakovic H, Becker J, Albuquerque R, Wilting J, Ambati J. Soluble VEGFR-2: an antilymphangiogenic variant of VEGF receptors. Ann N Y Acad Sci. 2010;1207:E7–15. https://doi.org/10.1111/j.1749-6632.2010.05714.x.
Albuquerque RJ, Hayashi T, Cho WG, Kleinman ME, Dridi S, Takeda A, et al. Alternatively spliced vascular endothelial growth factor receptor-2 is an essential endogenous inhibitor of lymphatic vessel growth. Nat Med. 2009;15:1023–30. https://doi.org/10.1038/nm.2018.
Singh N, Tiem M, Watkins R, Cho YK, Wang Y, Olsen T, et al. Soluble vascular endothelial growth factor receptor 3 is essential for corneal alymphaticity. Blood. 2013;121:4242–9. https://doi.org/10.1182/blood-2012-08-453043.
Vasan SK, Hwang J, Rostgaard K, Nyren O, Ullum H, Pedersen OBV, et al. ABO blood group and risk of cancer: a register-based cohort study of 1.6 million blood donors. Cancer Epidemiol. 2016;44:40–3. https://doi.org/10.1016/j.canep.2016.06.005.
Becker J, Pavlakovic H, Ludewig F, Wilting F, Weich HA, Albuquerque R, et al. Neuroblastoma progression correlates with downregulation of the lymphangiogenesis inhibitor sVEGFR-2. Clin Cancer Res. 2010;16:1431–41. https://doi.org/10.1158/1078-0432.CCR-09-1936.
Shibata MA, Ambati J, Shibata E, Albuquerque RJ, Morimoto J, Ito Y, et al. The endogenous soluble vegf receptor-2 isoform suppresses lymph node metastasis in a mouse immunocompetent mammary cancer model. BMC Med. 2010;8:69 https://doi.org/10.1186/1741-7015-8-69.
Shiels MS, Shu XO, Chaturvedi AK, Gao YT, Xiang YB, Cai Q, et al. A prospective study of immune and inflammation markers and risk of lung cancer among female never smokers in shanghai. Carcinogenesis. 2017;38:1004–10. https://doi.org/10.1093/carcin/bgx075.
Wolpin BM, Chan AT, Hartge P, Chanock SJ, Kraft P, Hunter DJ, et al. ABO blood group and the risk of pancreatic cancer. J Natl Cancer Inst. 2009;101:424–31. https://doi.org/10.1093/jnci/djp020.
Risch HA, Lu L, Wang J, Zhang W, Ni Q, Gao YT, et al. ABO blood group and risk of pancreatic cancer: a study in shanghai and meta-analysis. Am J Epidemiol. 2013;177:1326–37. https://doi.org/10.1093/aje/kws458.
Poole EM, Gates MA, High BA, Chanock SJ, Cramer DW, Cunningham JM, et al. ABO blood group and risk of epithelial ovarian cancer within the ovarian cancer association consortium. Cancer Causes Control. 2012;23:1805–10. https://doi.org/10.1007/s10552-012-0059-y.
Risch HA, Yu H, Lu L, Kidd MS. ABO blood group, helicobacter pylori seropositivity, and risk of pancreatic cancer: a case-control study. J Natl Cancer Inst. 2010;102:502–5. https://doi.org/10.1093/jnci/djq007.
Ackermann M, Verleden SE, Kuehnel M, Haverich A, Welte T, Laenger F, et al. Pulmonary vascular endothelialitis, thrombosis, and angiogenesis in covid-19. N Engl J Med. 2020;383:120–8. https://doi.org/10.1056/NEJMoa2015432.
Jostock T, Mullberg J, Ozbek S, Atreya R, Blinn G, Voltz N, et al. Soluble gp130 is the natural inhibitor of soluble interleukin-6 receptor transsignaling responses. Eur J Biochem. 2001;268:160–7. https://doi.org/10.1046/j.1432-1327.2001.01867.x.
Wolf J, Rose-John S, Garbers C. Interleukin-6 and its receptors: a highly regulated and dynamic system. Cytokine. 2014;70:11–20. https://doi.org/10.1016/j.cyto.2014.05.024.
Interleukin-6 Receptor Mendelian Randomisation Analysis Consortium, Swerdlow DI, Holmes MV, Kuchenbaecker KB, Engmann JE, Shah T, et al. The interleukin-6 receptor as a target for prevention of coronary heart disease: a mendelian randomisation analysis. Lancet. 2012;379:1214–24. https://doi.org/10.1016/S0140-6736(12)60110-X.
Schuett H, Oestreich R, Waetzig GH, Annema W, Luchtefeld M, Hillmer A, et al. Transsignaling of interleukin-6 crucially contributes to atherosclerosis in mice. Arterioscler Thromb Vasc Biol. 2012;32:281–90. https://doi.org/10.1161/ATVBAHA.111.229435.
Gwechenberger M, Pacher R, Berger R, Zorn G, Moser P, Stanek B, et al. Comparison of soluble glycoprotein 130 and cardiac natriuretic peptides as long-term predictors of heart failure progression. J Heart Lung Transpl. 2005;24:2190–5.
Garcia-Closas M, Ye Y, Rothman N, Figueroa JD, Malats N, Dinney C, et al. A genome-wide association study of bladder cancer identifies a new susceptibility locus within SLC14A1, a urea transporter gene on chromosome 18q12. 3. Hum Mol Gen. 2011;20:4282–9. https://doi.org/10.1093/hmg/ddr342.
Gohagan JK, Prorok PC, Hayes RB, Kramer BS, Ovarian Cancer Screening Trial Project T, Prostate LC. The Prostate, Lung, Colorectal and Ovarian (PLCO) Cancer Screening Trial of the national cancer institute: history, organization, and status. Control Clin Trials. 2000;21:251S–272S. https://doi.org/10.1016/s0197-2456(00)00097-0.
Prorok PC, Andriole GL, Bresalier RS, Buys SS, Chia D, Crawford ED, et al. Design of the Prostate, Lung, Colorectal and Ovarian (PLCO) Cancer Screening Trial. Control Clin Trials. 2000;21:273S–309S. https://doi.org/10.1016/s0197-2456(00)00098-2.
Purdue MP, Hofmann JN, Kemp TJ, Chaturvedi AK, Lan Q, Park JH, et al. A prospective study of 67 serum immune and inflammation markers and risk of non-hodgkin lymphoma. Blood. 2013;122:951–7. https://doi.org/10.1182/blood-2013-01-481077.
Shiels MS, Pfeiffer RM, Hildesheim A, Engels EA, Kemp TJ, Park JH, et al. Circulating inflammation markers and prospective risk for lung cancer. J Natl Cancer Inst. 2013;105:1871–80. https://doi.org/10.1093/jnci/djt309.
Trabert B, Pinto L, Hartge P, Kemp T, Black A, Sherman ME, et al. Pre-diagnostic serum levels of inflammation markers and risk of ovarian cancer in the Prostate, Lung, Colorectal and Ovarian Cancer (PLCO) Screening Trial. Gynecol Oncol. 2014;135:297–304. https://doi.org/10.1016/j.ygyno.2014.08.025.
Trabert B, Eldridge RC, Pfeiffer RM, Shiels MS, Kemp TJ, Guillemette C, et al. Prediagnostic circulating inflammation markers and endometrial cancer risk in the Prostate, Lung, Colorectal and Ovarian Cancer (PLCO) Screening Trial. Int J Cancer. 2017;140:600–10. https://doi.org/10.1002/ijc.30478.
Huang WY, Berndt SI, Shiels MS, Katki HA, Chaturvedi AK, Wentzensen N, et al. Circulating inflammation markers and colorectal adenoma risk. Carcinogenesis. 2019;40:765–70. https://doi.org/10.1093/carcin/bgz027.
Shiels MS, Katki HA, Hildesheim A, Pfeiffer RM, Engels EA, Williams M, et al. Circulating inflammation markers, risk of lung cancer, and utility for risk stratification. J Natl Cancer Inst. 2015;107. https://doi.org/10.1093/jnci/djv199.
Cook MB, Barnett MJ, Bock CH, Cross AJ, Goodman PJ, Goodman GE, et al. Prediagnostic circulating markers of inflammation and risk of oesophageal adenocarcinoma: a study within the national cancer institute cohort consortium. Gut. 2019;68:960–8. https://doi.org/10.1136/gutjnl-2018-316678.
Loh PR, Danecek P, Palamara PF, Fuchsberger C, Y AR, H KF, et al. Reference-based phasing using the haplotype reference consortium panel. Nat Genet. 2016;48:1443–8. https://doi.org/10.1038/ng.3679.
Taliun D, Harris DN, Kessler MD, Carlson J, Szpiech ZA, Torres R, et al. Sequencing of 53,831 diverse genomes from the NHLBI TOPMed Program. Nature 2021;590:290–9. https://doi.org/10.1038/s41586-021-03205-y.
Howie B, Fuchsberger C, Stephens M, Marchini J, Abecasis GR. Fast and accurate genotype imputation in genome-wide association studies through pre-phasing. Nat Genet. 2012;44:955–9. https://doi.org/10.1038/ng.2354.
Kowalski MH, Qian H, Hou Z, Rosen JD, Tapia AL, Shan Y, et al. Use of >100,000 nhlbi trans-omics for precision medicine (topmed) consortium whole genome sequences improves imputation quality and detection of rare variant associations in admixed african and hispanic/latino populations. PLoS Genet. 2019;15:e1008500. https://doi.org/10.1371/journal.pgen.1008500.
Jin Y, Schaffer AA, Sherry ST, Feolo M. Quickly identifying identical and closely related subjects in large databases using genotype data. PLoS ONE. 2017;12:e0179106. https://doi.org/10.1371/journal.pone.0179106.
Jin Y, Schaffer AA, Feolo M, Holmes JB, Kattman BL. GRAF-pop: a fast distance-based method to infer subject ancestry from multiple genotype datasets without principal components analysis. G3. 2019;9:2447–61. https://doi.org/10.1534/g3.118.200925.
Price AL, Patterson NJ, Plenge RM, Weinblatt ME, Shadick NA, Reich D. Principal components analysis corrects for stratification in genome-wide association studies. Nat Genet. 2006;38:904–9. https://doi.org/10.1038/ng1847.
Reid ME, Denomme GA. DNA-based methods in the immunohematology reference laboratory. Transfus Apher Sci. 2011;44:65–72. https://doi.org/10.1016/j.transci.2010.12.011.
Cakir B, Pankow JS, Salomaa V, Couper D, Morris TL, Brantley KR, et al. Distribution of lewis (FUT3)genotype and allele: Frequencies in a biethnic united states population. Ann Hematol. 2002;81:558–65. https://doi.org/10.1007/s00277-002-0508-x.
Parsons SF, Mallinson G, Daniels GL, Green CA, Smythe JS, Anstee DJ. Use of domain-deletion mutants to locate lutheran blood group antigens to each of the five immunoglobulin superfamily domains of the lutheran glycoprotein: elucidation of the molecular basis of the Lu(a)/Lu(b) and the Au(a)/Au(b) polymorphisms. Blood. 1997;89:4219–25.
Kelly RJ, Rouquier S, Giorgi D, Lennon GG, Lowe JB. Sequence and expression of a candidate for the human secretor blood group alpha(1,2)fucosyltransferase gene (fut2). Homozygosity for an enzyme-inactivating nonsense mutation commonly correlates with the non-secretor phenotype. J Biol Chem. 1995;270:4640–9. https://doi.org/10.1074/jbc.270.9.4640.
Korn EL, Graubard BI. Analysis of health surveys. 1st ed. New York, NY: John Wiley & Sons; 1999.
Austin PC. An introduction to propensity score methods for reducing the effects of confounding in observational studies. Multivar Behav Res. 2011;46:399–424. https://doi.org/10.1080/00273171.2011.568786.
Kitahara CM, Trabert B, Katki HA, Chaturvedi AK, Kemp TJ, Pinto LA, et al. Body mass index, physical activity, and serum markers of inflammation, immunity, and insulin resistance. Cancer Epidemiol Biomark Prev. 2014;23:2840–9. https://doi.org/10.1158/1055-9965.EPI-14-0699-T.
Lumley T. Analysis of complex survey samples. J Stat Softw. 2004;9:1–19.
Persson T, Rootzen H. Simple and highly efficient estimators for a type i censored normal sample. Biometrika. 1977;64:123–8. https://doi.org/10.1093/biomet/64.1.123.
Acknowledgements
The authors would like to thank Michael Furr, Information Management Systems (Rockville MD) and Lei Song, National Cancer Institute (Bethesda MD), who helped with data handling, and Minkyo Song, National Cancer Institute (Bethesda MD), who advised on the analysis.
Funding
This work was supported by the Intramural Research Program of the National Cancer Institute.
Author information
Authors and Affiliations
Corresponding author
Ethics declarations
Conflict of interest
The authors declare no competing interests.
Additional information
Publisher’s note Springer Nature remains neutral with regard to jurisdictional claims in published maps and institutional affiliations.
Rights and permissions
About this article
Cite this article
Van Alsten, S.C., Aversa, J.G., Santo, L. et al. Association between ABO and Duffy blood types and circulating chemokines and cytokines. Genes Immun 22, 161–171 (2021). https://doi.org/10.1038/s41435-021-00137-5
Received:
Revised:
Accepted:
Published:
Version of record:
Issue date:
DOI: https://doi.org/10.1038/s41435-021-00137-5
This article is cited by
-
Epigenome-wide DNA methylation association study of CHIP provides insight into perturbed gene regulation
Nature Communications (2025)
-
Rhesus negative males have an enhanced IFNγ-mediated immune response to influenza A virus
Genes & Immunity (2022)


