Fig. 1
From: Ethnic identity and engagement with genome sequencing research

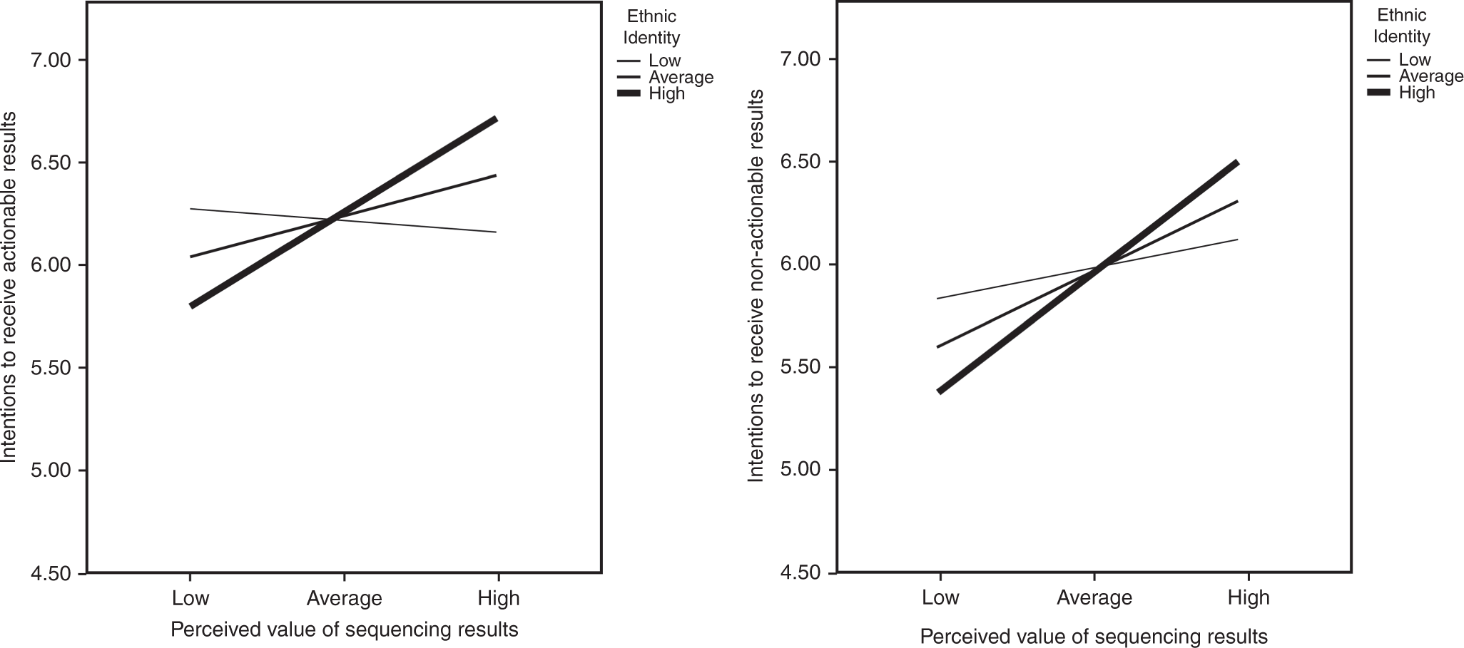
Simple slopes (regression of the outcome on the predictor at a specific value of the moderator) of perceived value of genomic results predicting intentions to receive actionable or nonactionable disease risk results for 1 SD below the mean of ethnic identity (low), the mean of ethnic identity (average), and 1 SD above the mean of ethnic identity (high). The predictor variable is displayed as low (1 SD below the mean), average (the mean), and high (1 SD above the mean).