Fig. 3
From: Mobility in osteogenesis imperfecta: a multicenter North American study

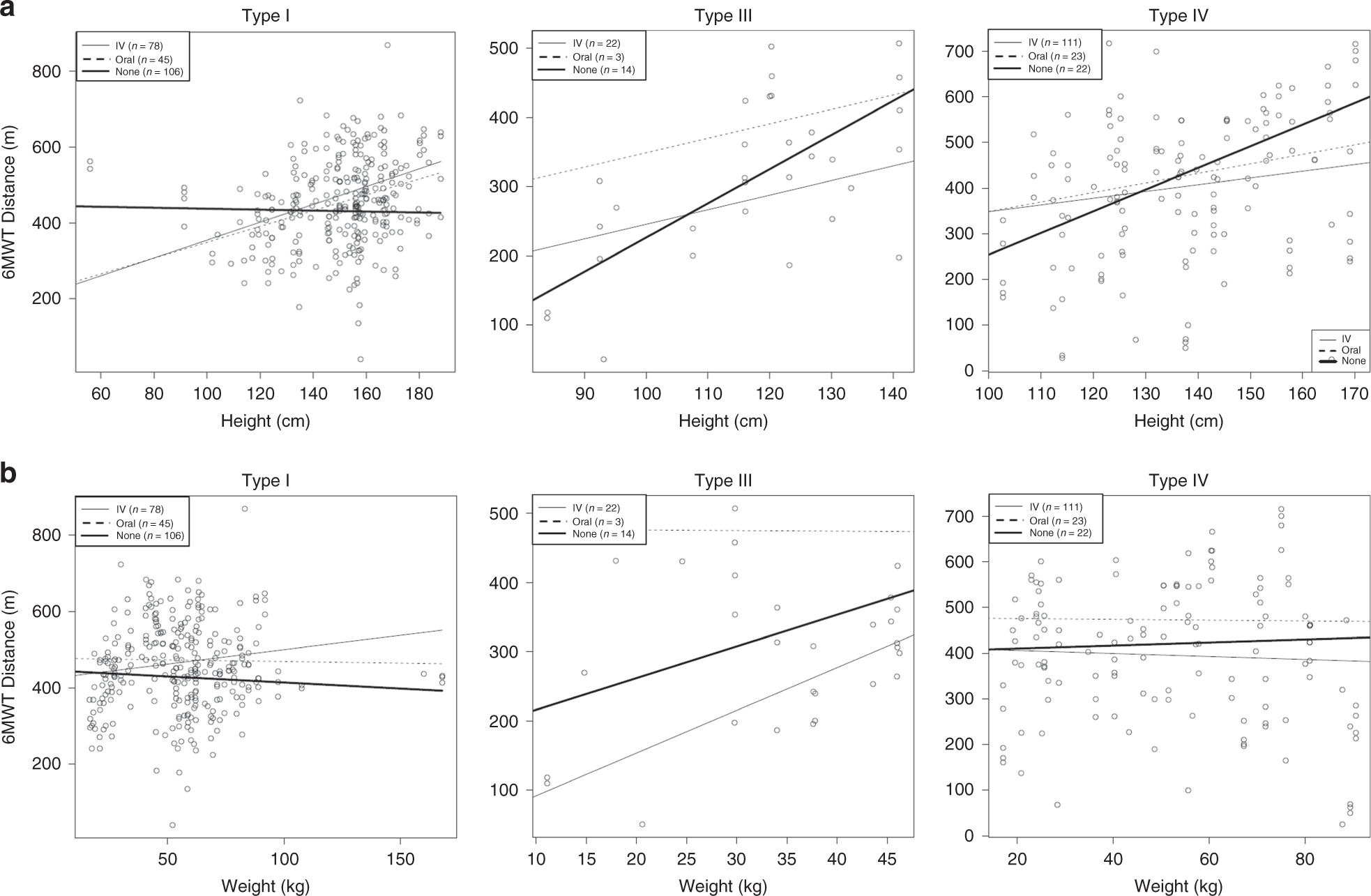
Results of regression analysis by osteogenesis imperfecta (OI) type for predictor variables showing correlation. a Relationship between height and 6-minute walk test (6MWT) and (b) relationship between weight and 6MWT for subjects who were given oral, intravenous (IV), or no bisphosphonate treatment. The total number of subjects for each regression analysis is indicated on each graph.