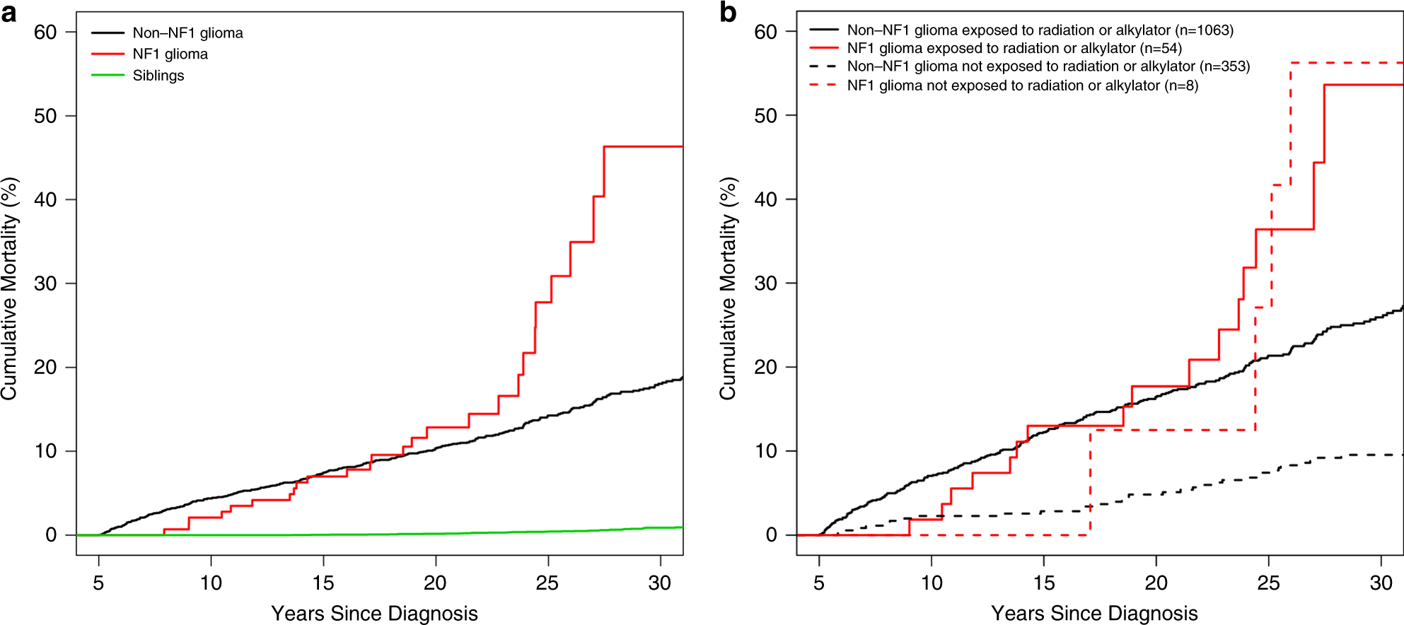
Fig. 1: Cumulative incidence of all-cause mortality starting five years from tumor diagnosis.

(a) Late mortality in glioma survivors with neurofibromatosis type 1 (NF1), glioma survivors without NF1 and siblings. (b) Late mortality among glioma survivors by exposure to radiation or alkylator.