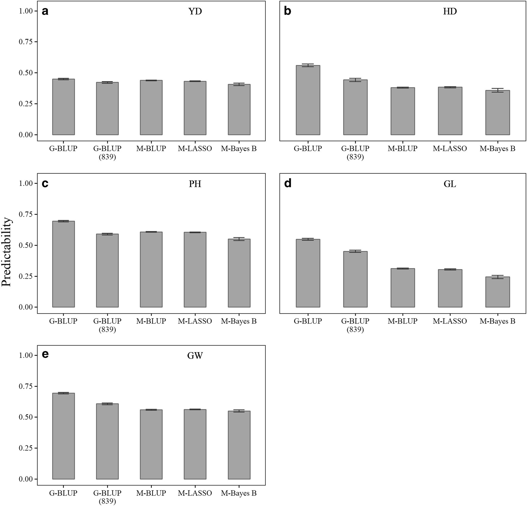
Fig. 4
From: Metabolome-wide association studies for agronomic traits of rice

Predictability for the five traits from genomic and metabolic information using BLUP, Bayes B, and LASSO methods, where the bars are their standard error estimated from 50 replicates cross validation. The prefix of methods represent what kind of information are used, G for genome and M for metabolome. And G-BLUP (839) represents we randomly selected 839 SNPs to construct the kinship matrix, which is equal to the number of metabolites