Fig. 2
From: Narrow-sense heritability estimation of complex traits using identity-by-descent information

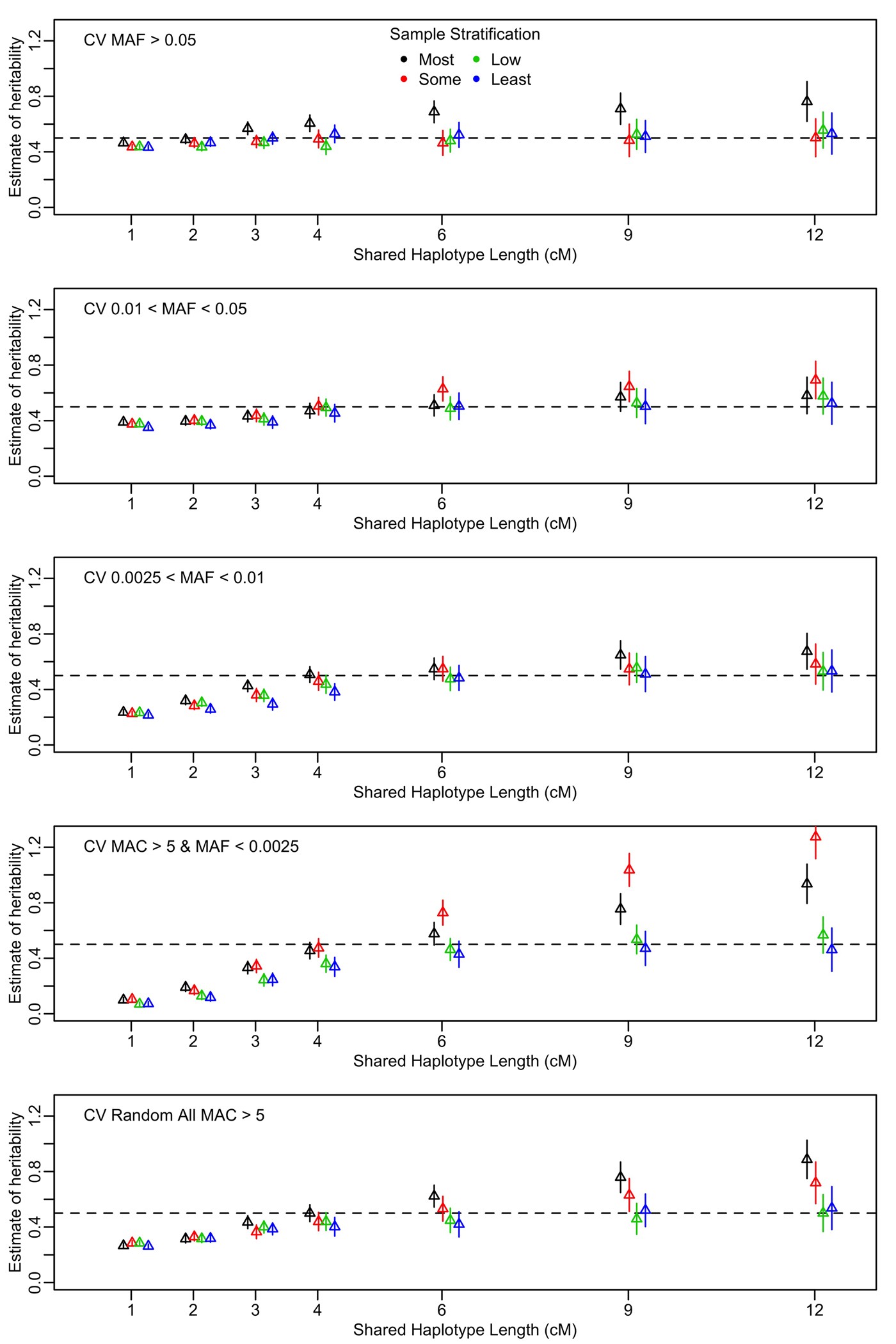
GREML-SC using an IBD-GRM. \(\widehat h_{{IBD}}^2\) estimates (mean ± 95% CI from 400 replicates). X axis indicates the IBD-shared haplotype length threshold for the IBD-GRM. Phenotypes with 1000 CVs randomly drawn from the MAF range specified in each panel. Different colors indicate degree of stratification in the sample. Relatedness cutoff of 0.05 used