Fig. 5

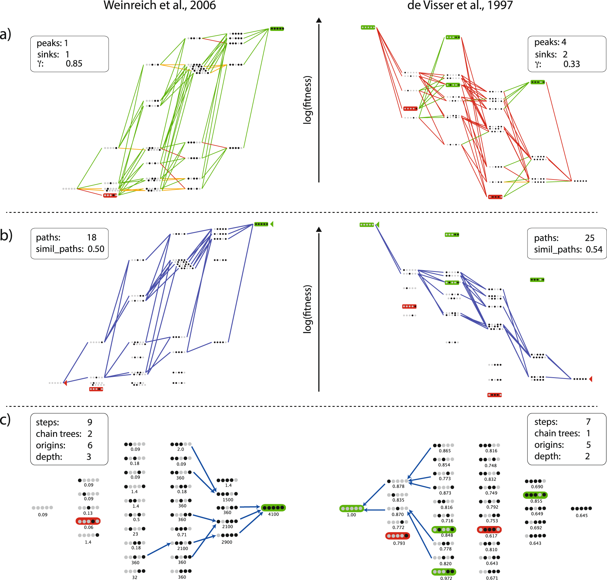
Epistasis measures and their corresponding illustrations for two experimental fitness landscapes. The pictures and the statistics were computed using MAGELLAN (Brouillet et al. 2015). The left column represents different views from the Weinreich et al. (2006) landscapes, whereas the right one concerns the csI from de Visser et al. (1997). a On the top panel, we report the general aspect of the landscapes, as well as previous measures of epistasis. b On the middle panel, we depict and report the number of direct accessible paths and their average pairwise similarity. c Finally, we report four measures concerning chains of obligatory beneficial mutations, on a sky view of the landscapes