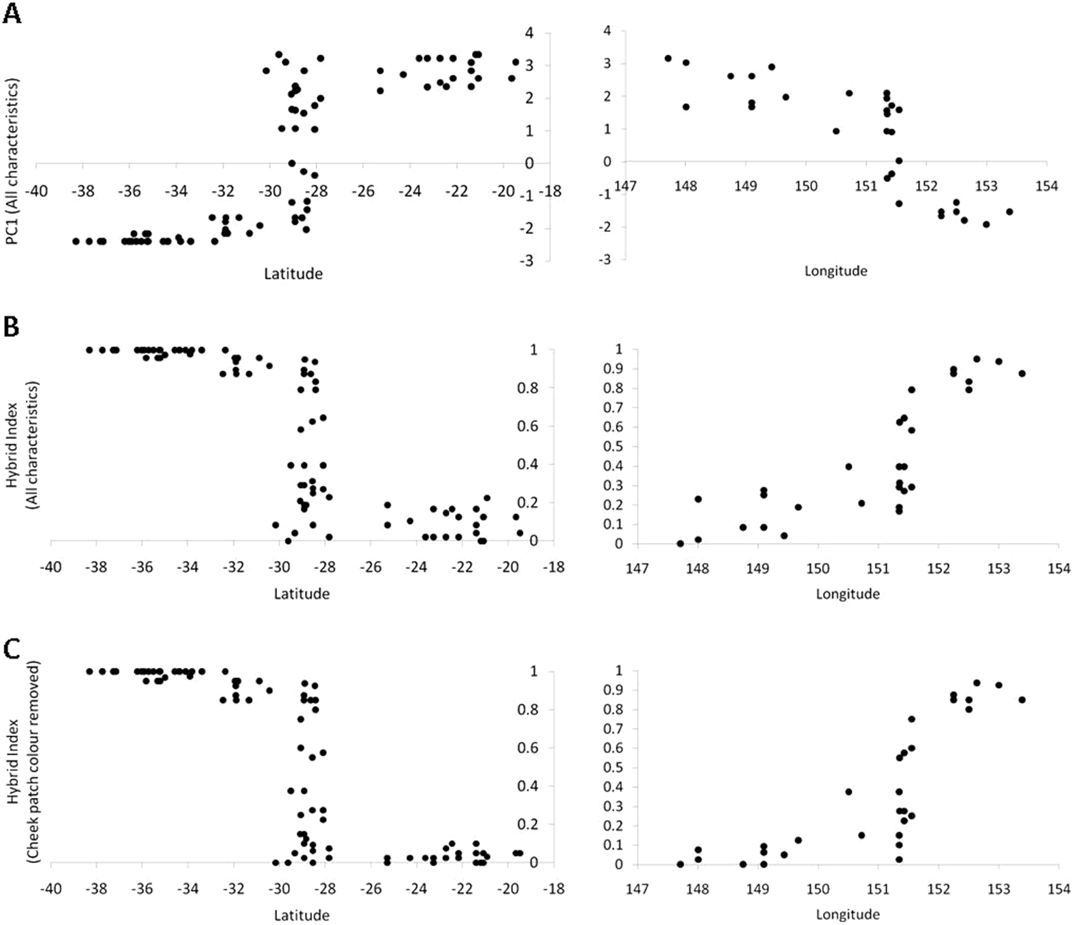
Fig. 3

Plots of plumage score (PC1 or hybrid index) for each individual against latitude (left, all individuals included) and longitude (right, only those individuals falling within the hybrid zone as identified by the plots of latitude). Included are plots of PC1 values from (a) the analysis including all characteristics (n = 87), and plots of hybrid index (proportions) generated from b all characteristics and c all except cheek patch colour (n = 94). Higher PC1 values indicating P. adscitus-like plumage, while higher hybrid index scores indicate P. eximius-like plumage