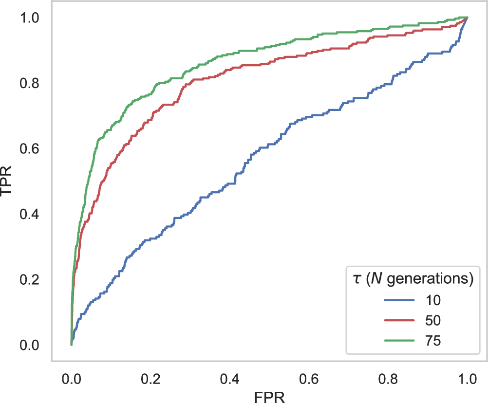
Fig. 4: ROC plots based on 100 simulated replicates of the common marmoset demographic model inferred by Soni et al. (2025d) for balancing selection inference using B0MAF, with mutation and recombination rates drawn from a uniform distribution such that the mean rate per replicate is equal to the fixed rate (see “Materials and methods” for details).

The false-positive rate (FPR) and the true-positive rate (TPR) are provided on the x-axis and y-axis of the ROC plots, respectively. Power analyses were conducted across three times of introduction of the balanced mutation (τ = 10N, 50N, and 75N generations; where N = 61,898).