Abstract
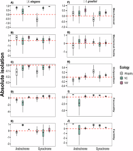
Theoretical and empirical studies of reinforcement have advanced our understanding of speciation, yet its role in polymorphic species remains understudied. Because morphs differ in behavior, morphology, and reproductive strategies, reinforcement may act unevenly among them, generating asymmetric reproductive isolation. We tested this prediction in the polymorphic damselflies Ischnura elegans and Ischnura graellsii, in which female morphs adopt alternative reproductive strategies. These species form two independent hybrid zones where reinforcement has strengthened mechanical isolation and driven reproductive character displacement in mating-related structures. We quantified five reproductive barriers across female morphs to evaluate how color polymorphism interacts with reinforcement. We found clear asymmetry between morphs: gynochrome females of both species showed reinforced mechanical isolation, whereas androchromes did not, consistent with their contrasting reproductive strategies. Additionally, gametic barriers evolved in opposite directions between species. Fertility isolation was reinforced in I. elegans, while oviposition and fertility barriers relaxed in I. graellsii, but symmetrically between female morphs, likely reflecting gene flow and purging of incompatibilities. Reinforcement strengthened reproductive isolation in a morph-specific manner, as pre-existing differences between female morphs influenced the likelihood of heterospecific mating and therefore the strength of selection against hybridization. Future work should examine whether these asymmetric dynamics generate cascading effects within species and contribute to morph-level diversification.
This is a preview of subscription content, access via your institution
Access options
Subscribe to this journal
Receive 12 print issues and online access
$259.00 per year
only $21.58 per issue
Buy this article
- Purchase on SpringerLink
- Instant access to the full article PDF.
USD 39.95
Prices may be subject to local taxes which are calculated during checkout




Similar content being viewed by others
Data availability
All datasets and scripts used in this manuscript were uploaded to OSF at: https://doi.org/10.17605/OSF.IO/EQBCA.
References
Anderson CB, Ospina O, Beerli P, Lemmon AR, Banker SE, Hassinger AB et al. (2023) The population genetics of speciation by cascade reinforcement. Ecol Evolut 13: e9773. https://doi.org/10.1002/ece3.9773.
Anthony CD, Venesky MD, Hickerson CM (2008) Ecological separation in a polymorphic terrestrial salamander. J Anim Ecol 77:646–653. https://doi.org/10.1111/j.1365-2656.2008.01398.x.
Arce-Valdés LR, Ballén-Guapacha AV, Rivas-Torres A, Chávez-Ríos JR, Wellenreuther M, Hansson B et al. (2025a) Testing the predictions of reinforcement: Long-term empirical data from a damselfly mottled hybrid zone. J Evolut Biol 38:10–27. https://doi.org/10.1093/jeb/voae124.
Arce-Valdés LR, Swaegers J, Ballén-Guapacha A, Chávez-Ríos JR, Chauhan P, Wellenreuther M et al (2025b) Hybridization outcomes reflect context-dependent reproductive isolation in two damselfly hybrid zones. bioRxiv: https://doi.org/10.64898/2025.12.23.696213.
Arnqvist G (1998) Comparative evidence for the evolution of genitalia by sexual selection. Nature 393:784–786. https://doi.org/10.1038/31689.
Baiz MD, Tucker PK, Cortés-Ortiz L (2019) Multiple forms of selection shape reproductive isolation in a primate hybrid zone. Mol Ecol 28:1056–1069. https://doi.org/10.1111/mec.14966.
Ballén-Guapacha AV, Ospina-Garcés SM, Guevara R, Sánchez-Guillén RA (2024) Reproductive character displacement: insights from genital morphometrics in damselfly hybrid zones. Heredity 133:355–368. https://doi.org/10.1038/s41437-024-00719-9.
Ballén-Guapacha, AV, Sánchez-Guillén, RA (2026). Asymmetric reproductive character displacement and female polymorphism in Ischnura damselflies. bioRxiv: https://doi.org/10.64898/2025.12.23.696213.
Barnard AA, Fincke OM, McPeek MA, Masly JP (2017) Mechanical and tactile incompatibilities cause reproductive isolation between two young damselfly species. Evolution 71:2410–2427. https://doi.org/10.1111/evo.13315.
Bolnick DI, Fitzpatrick BM (2007) Sympatric speciation: models and empirical evidence. Annu Rev Ecol, Evolution, Syst, 38:459–487. https://doi.org/10.1146/annurev.ecolsys.38.091206.095804.
Bonferroni C (1936) Teoria statistica delle classi e calcolo delle probabilita. Pubblicazioni Del R Istituto Super Di Sci Economiche e Commericiali Di Firenze 8:3–62.
Christie K, Strauss SY (2019) Reproductive isolation and the maintenance of species boundaries in two serpentine endemic Jewelflowers. Evolution 73:1375–1391. https://doi.org/10.1111/evo.13767.
Corbett-Detig RB, Zhou J, Clark AG, Hartl DL, Ayroles JF (2013) Genetic incompatibilities are widespread within species. Nature 504:135–137. https://doi.org/10.1038/nature12678.
Cordero A (1989) Reproductive behaviour of Ischnura graellsii (Rambur) (Zygoptera: Coenagrionidae). Odonatologica 18:237–244.
Cordero-Rivera A, Sánchez-Guillén RA (2007) Male-like females of a damselfly are not preferred by males even if they are the majority morph. Anim Behav 74:247–252. https://doi.org/10.1016/j.anbehav.2006.06.023.
Corl A, Davis AR, Kuchta SR, Sinervo B (2010) Selective loss of polymorphic mating types is associated with rapid phenotypic evolution during morphic speciation. Proc Natl Acad Sci USA 107:4254–4259. https://doi.org/10.1073/pnas.0909480107.
Coughlan JM, Matute DR (2020) The importance of intrinsic postzygotic barriers throughout the speciation process. Philos Trans R Soc B Biol Sci 375:20190533. https://doi.org/10.1098/rstb.2019.0533.
Coyne JA, Orr HA (1989) Patterns of speciation in Drosophila. Evolution 43:362–381. https://doi.org/10.1111/j.1558-5646.1989.tb04233.x.
Coyne JA, Orr HA (1997) Patterns of speciation in Drosophila” revisited. Evolution 51:295–303. https://doi.org/10.2307/2410984.
Coyne JA, Orr HA (2004) Speciation. Sinauer Associates.
Eberhard WG (2015) Cryptic Female Choice and Other Types of Post-copulatory Sexual Selection. In A. V. Peretti & A Aisenberg (Eds.), Cryptic Female Choice in Arthropods (pp. 1–26). Springer International Publishing. https://doi.org/10.1007/978-3-319-17894-3_1.
Egger B, Mattersdorfer K, Sefc KM (2010) Variable discrimination and asymmetric preferences in laboratory tests of reproductive isolation between cichlid colour morphs. J Evolut Biol 23:433–439. https://doi.org/10.1111/j.1420-9101.2009.01906.x.
Elmer KR, Lehtonen TK, Meyer A (2009) Color assortative mating contributes to sympatric divergence of neotropical cichlid fish. Evolution 63:2750–2757. https://doi.org/10.1111/j.1558-5646.2009.00736.x.
Galicia-Mendoza I, Sanmartín-Villar I, Espinosa-Soto C, Cordero-Rivera A (2017) Male-biased sex ratio reduces the fecundity of one of three female morphs in a polymorphic damselfly. Behav Ecol https://doi.org/10.1093/beheco/arx086.
Garner A, Goulet B, Farnitano M, Molina-Henao Y, Hopkins R (2018) Genomic signatures of reinforcement. Genes 9:191. https://doi.org/10.3390/genes9040191.
Gosden TP, Stoks R, Svensson EI (2011) Range limits, large-scale biogeographic variation, and localized evolutionary dynamics in a polymorphic damselfly: biogeographic morph frequency dynamics. Biol J Linn Soc 102:775–785. https://doi.org/10.1111/j.1095-8312.2011.01619.x.
Gosden TP, Svensson EI (2009) Density-dependent male mating harassment, female resistance, and male mimicry. Am Naturalist 173:709–721. https://doi.org/10.1086/598491.
Gray SM, McKinnon JS (2007) Linking color polymorphism maintenance and speciation. Trends Ecol Evol 22:71–79. https://doi.org/10.1016/j.tree.2006.10.005.
Hammers M, Van Gossum H (2008) Variation in female morph frequencies and mating frequencies: Random, frequency-dependent harassment or male mimicry?. Anim Behav 76:1403–1410. https://doi.org/10.1016/j.anbehav.2008.06.021.
Hartig F (2024) DHARMa: Residual Diagnostics for Hierarchical (Multi-Level / Mixed) Regression Models (p. 0.4.7) [Dataset]. https://doi.org/10.32614/CRAN.package.DHARMa.
Heinze G, Ploner M, Jiricka L, Steiner G (2003) logistf: Firth’s Bias-Reduced Logistic Regression (p. 1.26.1) [Dataset]. https://doi.org/10.32614/CRAN.package.logistf.
Heinze G, Schemper M (2002) A solution to the problem of separation in logistic regression. Stat Med 21:2409–2419. https://doi.org/10.1002/sim.1047.
Heuer MM, Fischer K, Tensen L (2024) Color polymorphic carnivores have faster speciation rates. Sci Rep 14: 23721. https://doi.org/10.1038/s41598-024-74747-0.
Hollander J, Montaño-Rendón M, Bianco G, Yang X, Westram AM, Duvaux L et al. (2018) Are assortative mating and genital divergence driven by reinforcement?. Evol Lett 2:557–566. https://doi.org/10.1002/evl3.85.
Holm S (1979) A simple sequentially rejective multiple test procedure. Scandinavian J Statist 65–70.
Hopkins R (2013) Reinforcement in plants. N Phytol 197:1095–1103. https://doi.org/10.1111/nph.12119.
Hugall AF, Stuart-Fox D (2012) Accelerated speciation in colour-polymorphic birds. Nature 485:631–634. https://doi.org/10.1038/nature11050.
Jiménez-López FJ, Arista M, Talavera M, Cerdeira Morellato LP, Pannell JR, Viruel J et al. (2023) Multiple pre- and postzygotic components of reproductive isolation between two co-occurring Lysimachia species. N Phytol 238:874–887. https://doi.org/10.1111/nph.18767.
Johnson C (1975) Polymorphism and natural selection in Ischnuran damselflies. Evol Theor 1:81.
Kirkpatrick M, Servedio MR (1999) The reinforcement of mating preferences on an Island. Genetics 151:865–884. https://doi.org/10.1093/genetics/151.2.865.
Kronforst MR, Young LG, Gilbert LE (2007) Reinforcement of mate preference among hybridizing Heliconius butterflies. J Evolut Biol 20:278–285. https://doi.org/10.1111/j.1420-9101.2006.01198.x.
Lenth RV (2025) emmeans: Estimated Marginal Means, aka Least-Squares Means. https://rvlenth.github.io/emmeans/.
Liou LW, Price TD (1994) Speciation by reinforcement of premating isolation. Evolution 48:1451–1459. https://doi.org/10.1111/j.1558-5646.1994.tb02187.x.
Matsubayashi KW, Katakura H (2009) Contribution of multiple isolating barriers to reproductve isolation between a pair of phytophagous ladybird beetles. Evolution 63:2563–2580. https://doi.org/10.1111/j.1558-5646.2009.00738.x.
McPeek MA, Shen L, Farid H (2009) The correlated evolution of three-dimensional reproductive structures between male and female damselflies. Evolution 63:73–83.
McPeek MA, Shen L, Torrey JZ, Farid H (2008) The tempo and mode of three-dimensional morphological evolution in male reproductive structures. Am Naturalist 171:E158–E178. https://doi.org/10.1086/587076.
Miller MN, Fincke OM (2004) Mistakes in sexual recognition among sympatric Zygoptera vary with time of day and color morphism (Odonata: Coenagrionidae). Int J Odonatol 7:471–491. https://doi.org/10.1080/13887890.2004.9748233.
Monetti L, Sánchez-Guillén RA, Cordero-Rivera A (2002) Hybridization between Ischnura graellsii (Vander Linder) and I. elegans (Rambur) (Odonata: Coenagrionidae): Are they different species? Biol J Linn Soc 76:225–235. https://doi.org/10.1111/j.1095-8312.2002.tb02084.x.
Noor MAF (1999) Reinforcement and other consequences of sympatry. Heredity 83:503–508. https://doi.org/10.1038/sj.hdy.6886320.
Nosil P, Crespi BJ, Sandoval CP (2003) Reproductive isolation driven by the combined effects of ecological adaptation and reinforcement. Proc R Soc Lond Ser B Biol Sci 270:1911–1918. https://doi.org/10.1098/rspb.2003.2457.
Nosil P, Yukilevich R (2008) Mechanisms of reinforcement in natural and simulated polymorphic populations. Biol J Linn Soc 95:305–319. https://doi.org/10.1111/j.1095-8312.2008.01048.x.
Oldroyd BP, Reddy MS, Chapman NC, Thompson GJ, Beekman M (2006) Evidence for reproductive isolation between two colour morphs of cavity nesting honey bees (Apis) in south India. Insectes Sociaux 53:428–434. https://doi.org/10.1007/s00040-005-0889-2.
Ordaz-Morales JE (2022) Polimorfismo de color en una zona hibrida en expansión. Master's thesis, Instituto de Ecología A.C. (INECOL), Xalapa, Veracruz, Mexico.
Pérez-Barros P, Calcagno JA, Lovrich GA (2011) Absence of a prezygotic behavioural barrier to gene flow between the two sympatric morphs of the squat lobster Munida gregaria (Fabricius, 1793) (Decapoda: Anomura: Galatheidae). Helgol Mar Res 65:513–523. https://doi.org/10.1007/s10152-010-0240-1.
Pierotti MER, Seehausen O (2007) Male mating preferences pre-date the origin of a female trait polymorphism in an incipient species complex of Lake Victoria cichlids. J Evolut Biol 20:240–248. https://doi.org/10.1111/j.1420-9101.2006.01206.x.
Piersanti S, Salerno G, Di Pietro V, Giontella L, Rebora M, Jones A et al. (2021) Tests of search image and learning in the wild: Insights from sexual conflict in damselflies. Ecol Evolut 11:4399–4412. https://doi.org/10.1002/ece3.7335.
Powell EA, Uy JAC (2023) Male color polymorphism in populations of reef geckos (Sphaerodactylus notatus) reduces the utility of visual signals in sex recognition. Behav Ecol Sociobiol 77: 2. https://doi.org/10.1007/s00265-022-03272-9.
Puhr R, Heinze G, Nold M, Lusa L, Geroldinger A (2017) Firth’s logistic regression with rare events: accurate effect estimates and predictions? Stat Med 36:2302–2317. https://doi.org/10.1002/sim.7273.
Ramsey J, Bradshaw HD, Schemske DW (2003) Components of reproductive isolation between the monkeyflowers mimulus lewisii and M. cardinalis (Phrymaceae). Evolution 57:1520–1534. https://doi.org/10.1111/j.0014-3820.2003.tb00360.x.
Rebora M, Frati F, Piersanti S, Salerno G, Selvaggini R, Fincke OM (2018) Field tests of multiple sensory cues in sex recognition and harassment of a colour polymorphic damselfly. Anim Behav 136:127–136. https://doi.org/10.1016/j.anbehav.2017.12.015.
R Core Team. (2023). R: A language and environment for statistical computing. R Foundation for Statistical Computing, Vienna, Austria. https://www.R-project.org/.
Richards-Zawacki CL, Cummings ME (2011) Intraspecific reproductive character displacement in a polymorphic poison dart frog, Dendrobates pumilio. Evolution 65:259–267. https://doi.org/10.1111/j.1558-5646.2010.01124.x.
Robertson HM, Paterson E (1982).Mate recognition and mechanical isolation in Enallagma damselflies (Odonata: Coenagrionidae). Evolution 243–250.
Sánchez-Guillén RA, Hammers M, Hansson B, Van Gossum H, Cordero-Rivera A, Galicia Mendoza DI et al. (2013) Ontogenetic shifts in male mating preference and morph-specific polyandry in a female colour polymorphic insect. BMC Evolut Biol 13:116. https://doi.org/10.1186/1471-2148-13-116.
Sánchez-Guillén RA, Hansson B, Wellenreuther M, Svensson EI, Cordero-Rivera A (2011) The influence of stochastic and selective forces in the population divergence of female colour polymorphism in damselflies of the genus Ischnura. Heredity 107:513–522. https://doi.org/10.1038/hdy.2011.36.
Sánchez-Guillén RA, Van Gossum H, Cordero Rivera A (2005) Hybridization and the inheritance of female colour polymorphism in two ischnurid damselflies (Odonata: Coenagrionidae). Biol J Linn Soc 85:471–481. https://doi.org/10.1111/j.1095-8312.2005.00506.x.
Sánchez-Guillén RA, Wellenreuther M, Chávez-Ríos JR, Beatty CD, Rivas-Torres A, Velasquez-Velez M et al. (2017) Alternative reproductive strategies and the maintenance of female color polymorphism in damselflies. Ecol Evol 7:5592–5602. https://doi.org/10.1002/ece3.3083.
Sánchez-Guillén RA, Wellenreuther M, Cordero Rivera A (2012) Strong asymmetry in the relative strengths of prezygotic and postzygotic barriers between two damselfly sister species. Evolution 66:690–707. https://doi.org/10.1111/j.1558-5646.2011.01469.x.
Schwarz D, McPheron BA (2007) When ecological isolation breaks down: Sexual isolation is an incomplete barrier to hybridization between Rhagoletis species. Evolut Ecol Res 9:829–841.
Servedio MR (2001) Beyond reinforcement: the evolution of premating isolation by direct selection on preferences and postmating, prezygotic incompatibilities. Evolution 55:1909–1920. https://doi.org/10.1111/j.0014-3820.2001.tb01309.x.
Sobel JM, Chen GF (2014) Unification of methods for estimating the strength of reproductive isolation. Evolution 68:1511–1522. https://doi.org/10.1111/evo.12362.
St. John ME, Fuller RC (2021) Asymmetric reinforcement in Lucania killifish: Assessing reproductive isolation when both sexes choose. Curr Zool 67:215–224. https://doi.org/10.1093/cz/zoaa049.
Suni SS, Hopkins R (2018) The relationship between postmating reproductive isolation and reinforcement in Phlox. Evolution 72:1387–1398. https://doi.org/10.1111/evo.13507.
Swaegers J, Sánchez-Guillén RA, Chauhan P, Wellenreuther M, Hansson B (2022) Restricted X chromosome introgression and support for Haldane’s rule in hybridizing damselflies. Proc R Soc B Biol Sci 289: 20220968. https://doi.org/10.1098/rspb.2022.0968.
Turelli M, Lipkowitz JR, Brandvain Y (2014) On the Coyne and Orr-igin of species: Effects of intrinsic postzygotic isolation, ecological differentiation, X chromosome size, and sympatry on Drosophila speciation. Evolution 68:1176–1187. https://doi.org/10.1111/evo.12330.
Turelli M, Moyle LC (2007) Asymmetric postmating isolation: Darwin’s Corollary to Haldane’s rule. Genetics 176:1059–1088. https://doi.org/10.1534/genetics.106.065979.
Van Gossum H, De Bruyn L, Stoks R (2005) Reversible switches between male–male and male–female mating behaviour by male damselflies. Biol Lett 1:268–270. https://doi.org/10.1098/rsbl.2005.0315.
Van Gossum H, Sánchez-Guillén RA, Rivera AC (2003) Observations on rearing damselflies under laboratory conditions. Anim Biol 53:37–45.
Van Gossum H, Stoks R, Bruyn LD (2001) Reversible frequency–dependent switches in male mate choice. Proc R Soc Lond Ser B Biol Sci 268:83–85. https://doi.org/10.1098/rspb.2000.1333.
Wellenreuther M, Muñoz J, Chávez-Ríos JR, Hansson B, Cordero-Rivera A, Sánchez-Guillén RA (2018) Molecular and ecological signatures of an expanding hybrid zone. Ecol Evol 8:4793–4806. https://doi.org/10.1002/ece3.4024.
West-Eberhard MJ (1986) Alternative adaptations, speciation, and phylogeny (a review). Proc Natl Acad Sci USA 83:1388–1392.
Westram AM, Stankowski S, Surendranadh P, Barton N (2022) What is reproductive isolation?. J Evolut Biol 35:1143–1164. https://doi.org/10.1111/jeb.14005.
Whiteman HH, Semlitsch RD (2005) Asymmetric reproductive isolation among polymorphic salamanders. Biol J Linn Soc 86:265–281. https://doi.org/10.1111/j.1095-8312.2005.00537.x.
Whitney JL, Bowen BW, Karl SA (2018a) Flickers of speciation: sympatric colour morphs of the arc-eye hawkfish, Paracirrhites arcatus, reveal key elements of divergence with gene flow. Mol Ecol 27:1479–1493. https://doi.org/10.1111/mec.14527.
Whitney JL, Donahue MJ, Karl SA (2018b) Niche divergence along a fine-scale ecological gradient insympatric color morphs of a coral reef fish. Ecosphere 9:e02015. https://doi.org/10.1002/ecs2.2015.
Willink, Tunström B, Nilén K, Chikhi S, Lemane R, Takahashi T et al. (2024) The genomics and evolution of inter-sexual mimicry and female-limited polymorphisms in damselflies. Nat Ecol Evol 8:83–97. https://doi.org/10.1038/s41559-023-02243-1.
Willkommen J, Michels J, Gorb SN (2015) Functional morphology of the male caudal appendages of the damselfly Ischnura elegans (Zygoptera: Coenagrionidae). Arthropod Struct Dev 44:289–300. https://doi.org/10.1016/j.asd.2015.04.002.
Winfrey C, Fincke OM (2017) Role of visual and non-visual cues in damselfly mate recognition. Int J Odonatol 20:43–52. https://doi.org/10.1080/13887890.2017.1297259.
Xiong T, Mallet J (2022) On the impermanence of species: The collapse of genetic incompatibilities in hybridizing populations. Evolution 76:2498–2512. https://doi.org/10.1111/evo.14626.
Yang Y, Richards-Zawacki CL, Devar A, Dugas MB (2016) Poison frog color morphs express assortative mate preferences in allopatry but not sympatry. Evolution 70:2778–2788. https://doi.org/10.1111/evo.13079.
Yukilevich R (2012) Asymmetrical patterns of speciation uniquely support reinforcement in Drosophila. Evolution 66:1430–1446. https://doi.org/10.1111/j.1558-5646.2011.01534.x.
Yukilevich R (2021) Reproductive character displacement drives diversification of male courtship songs in Drosophila. Am Naturalist 197:690–707. https://doi.org/10.1086/714046.
Yukilevich R, Aoki F (2016) Is cascade reinforcement likely when sympatric and allopatric populations exchange migrants? Curr Zool 62:155–167. https://doi.org/10.1093/cz/zow007.
Yukilevich R, Aoki F, Egan S, Zhang L (2024) Coevolutionary interactions between sexual and habitat isolation during reinforcement. Cold Spring Harb Perspect Biol 16:a041431. https://doi.org/10.1101/cshperspect.a041431.
Yukilevich R, True JR (2006) Divergent outcomes of reinforcement speciation: the relative importance of assortative mating and migration modification. Am Naturalist 167:638–654. https://doi.org/10.1086/503120.
Acknowledgements
We are very grateful to Guillaume Lavanchy and an anonymous reviewer for their insightful comments, which greatly improved the quality of our manuscript. We thank the Zalandrana Odonatology Group for their support with sampling and permitting in north-central Spain; Janet Nolasco Soto and Jovita Martínez Lapa for technical assistance; Samantha Maíte de los Santos Gómez for help with map preparation; and Roger Guevara for statistical advice. This work was funded by Mexican CONACyT (282922 to RAS-G). JEO-M received a PhD fellowship from SECIHTI (966157). LRA-V was supported by a Horizon Postdoctoral Fellowship from Concordia University. ACR was supported by grant PGC2018-096656-B-I00 from the Spanish Ministry of Ciencia, Innovación y Universidades (MCIN/AEI/10.13039/501100011033) and the European Regional Development Fund. This research constitutes part of JEO-M’s doctoral thesis at the Instituto de Ecología, AC.
Author information
Authors and Affiliations
Contributions
Conceptualization: JEO-M and RAS-G, Data curation: JEO-M, ALJ-J, MS-P, LRA-V, AVB-G, OB, NR, JRC-R and RAS-G, Formal analysis: JEO-M, LRA-V, and RAS-G, Visualization: JEO-M and RAS-G, Writing-original draft: JEO-M and RAS-G, Writing—review and editing: all the authors, Funding acquisition: AC-R and RAS-G.
Corresponding author
Ethics declarations
Competing interests
The authors declare no competing interests.
Additional information
Publisher’s note Springer Nature remains neutral with regard to jurisdictional claims in published maps and institutional affiliations.
Associate editor: Josselin Clo.
Supplementary information
Rights and permissions
Springer Nature or its licensor (e.g. a society or other partner) holds exclusive rights to this article under a publishing agreement with the author(s) or other rightsholder(s); author self-archiving of the accepted manuscript version of this article is solely governed by the terms of such publishing agreement and applicable law.
About this article
Cite this article
Ordaz-Morales, J.E., Juárez-Jiménez, A.L., Stand-Pérez, M. et al. Alternative reproductive strategies explain asymmetries in reproductive isolation and reinforcement in two Ischnura damselfly species. Heredity (2026). https://doi.org/10.1038/s41437-026-00837-6
Received:
Revised:
Accepted:
Published:
Version of record:
DOI: https://doi.org/10.1038/s41437-026-00837-6


