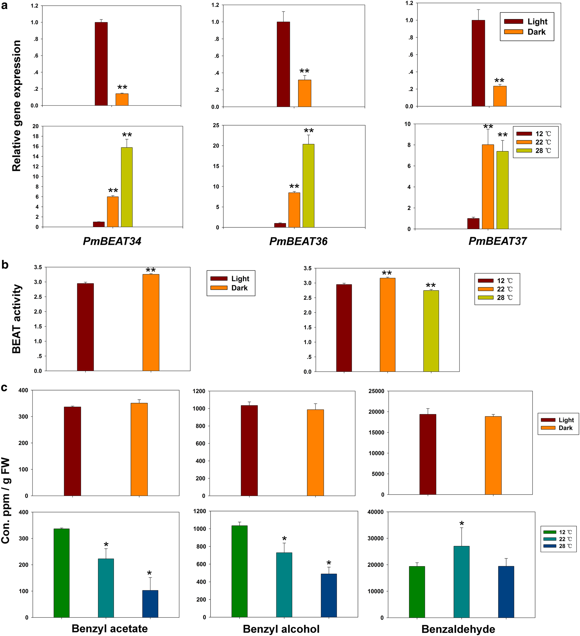
Fig. 9: Light and temperature affect the benzyl acetate synthesis pathway.
From: Expansion of PmBEAT genes in the Prunus mume genome induces characteristic floral scent production

(a) The expression levels of PmBEAT34, PmBEAT36 and PmBEAT37, (b) the benzyl alcohol acetyltransferase activity and (c) the endogenous contents of benzaldehyde, benzyl alcohol and benzyl acetate in blooming flowers under different light or temperature treatments. The data are presented as the mean values of three replicates ± SD. * indicates P < 0.05, and ** indicates P < 0.01 (Student’s t-test). Three independent experiments were performed with similar results