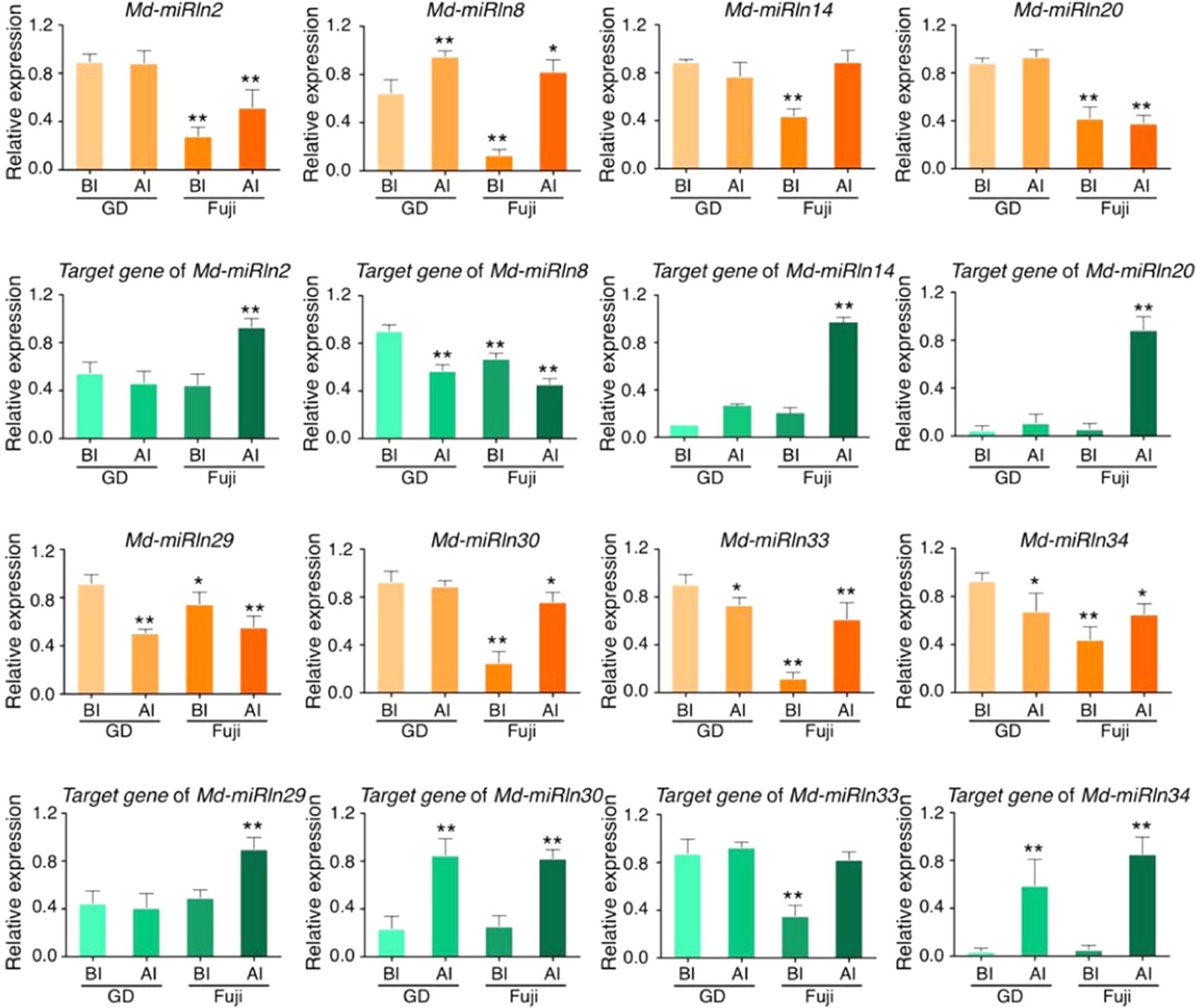
Fig. 2: Expression of novel miRNAs and their predicted targets in leaves of GD and ‘Fuji’.

RT-qPCR analysis of leaves before inoculation (BI) and 3 days after inoculation (AI) with W2. The orange bars indicate expression of miRNAs, and the green bars indicate that of their target genes. Error bars represent standard deviations calculated from three biological replicates. Student’s t-test: *P < 0.05 and **P < 0.01