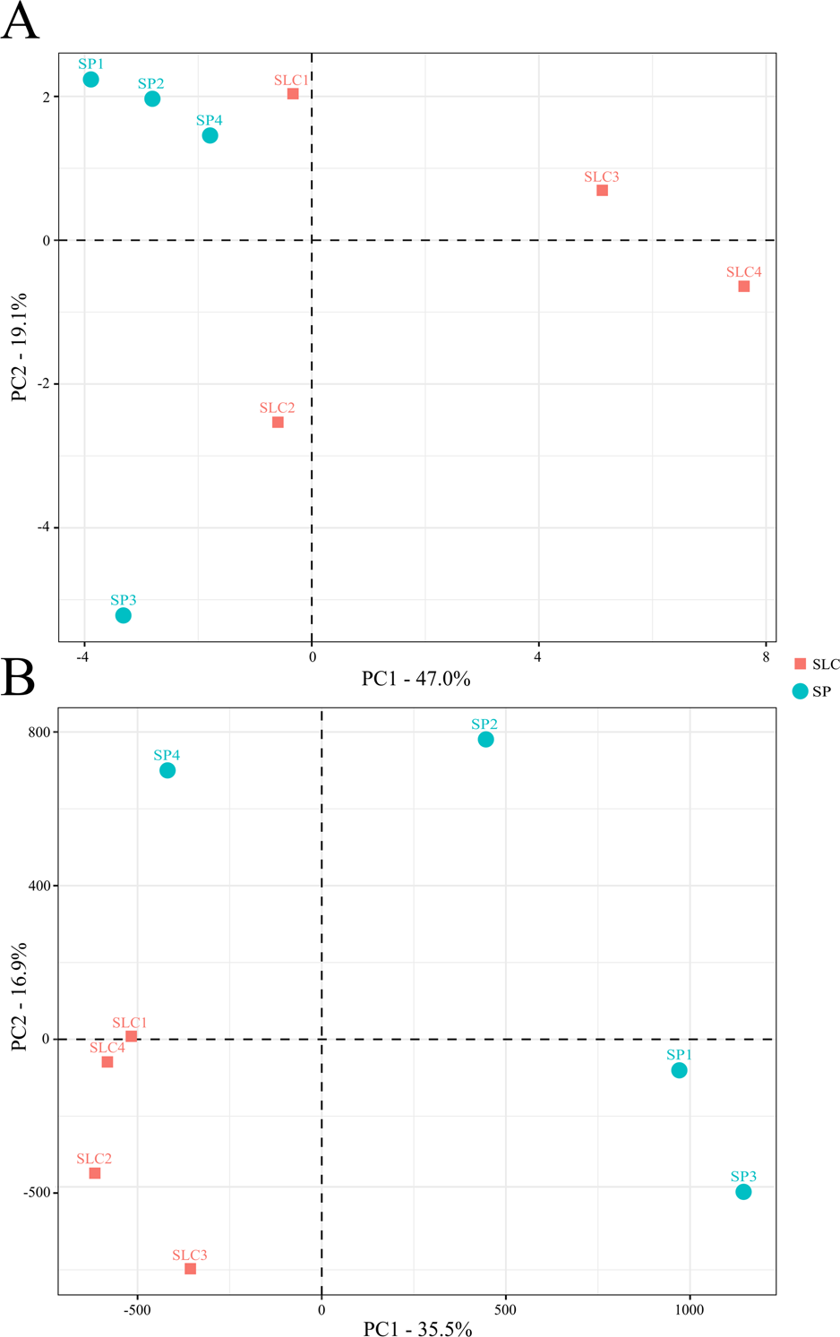
Fig. 4: Principal component analysis (PCA) comparison.

PCA similarities based on the morphological characterization of 39 traits (a) and on the whole set of SNPs identified in this study (9,106,964) (b) for the four S. pimpinellifolium (SP1–SP4) and four S. lycopersicum var. cerasiforme (SLC1–SLC4) accessions. The first and second principal coordinates (PC) are displayed. Study codes as in Table 1