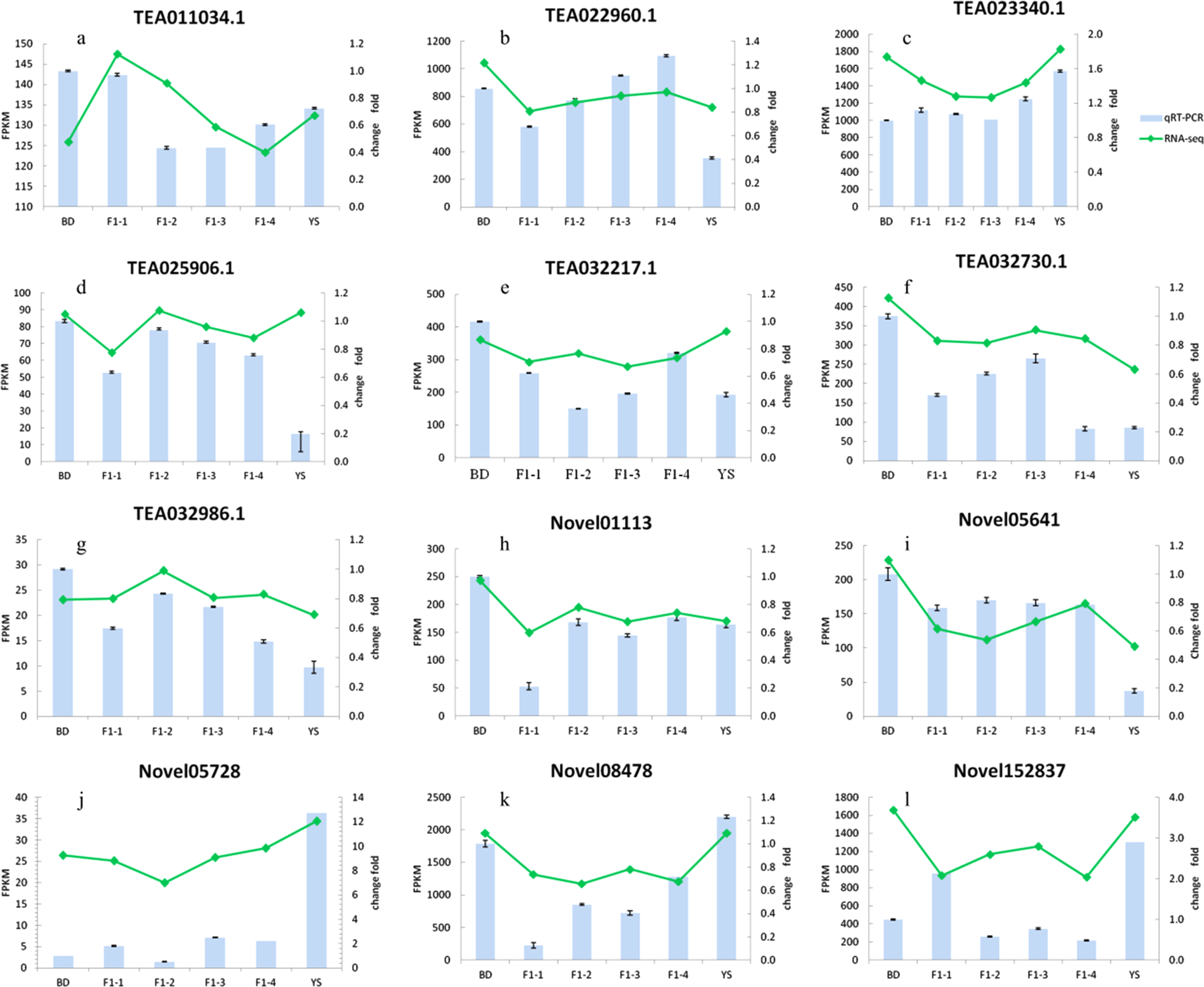
Fig. 1: Verification of the relative gene expression levels by qRT-PCR analysis.

The expression patterns of 12 genes by qRT-PCR and RNA-seq analyses: a TEA011034.1. b TEA022960.1. c TEA023340.1. d TEA025906.1. e TEA032217.1. f TEA032730.1. g TEA032986.1. h Novel01113. i Novel05641. j Novel05728. k Novel08478. l Novel152837