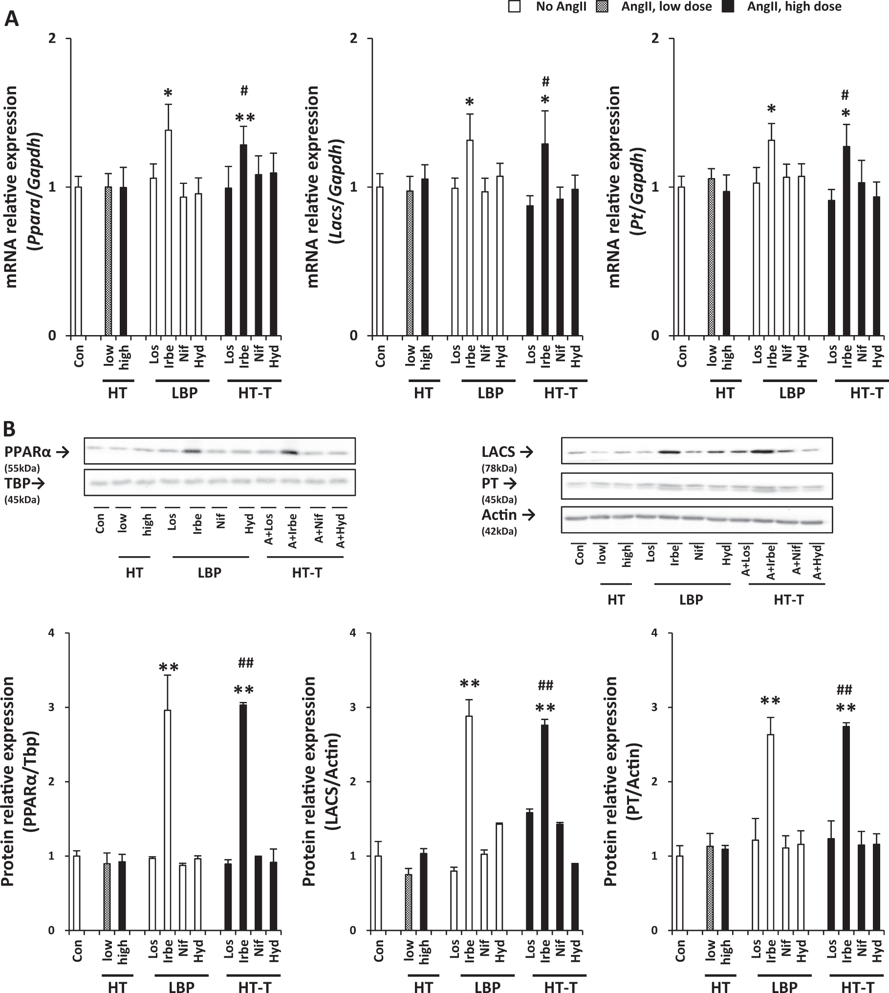
Fig. 5

Expression of PPARα and its target genes LACS and PT in livers from hypertension, low blood pressure, and hypertension treatment mice. a Expression of mRNAs encoding Ppara, Lacs, and Pt. mRNA levels are normalized to Gapdh mRNA levels and shown as fold changes relative to that observed in mice from the control group. b Immunoblot analysis of PPARα, LACS, and PT. Thirty micrograms of the nuclear fraction or whole-liver lysate protein prepared from each mouse was loaded into each well for electrophoresis. TBP or actin was used as the loading control, respectively. The band intensity was measured densitometrically, normalized to those of TBP or actin and shown as values relative to that observed in mice from the control group. The results are expressed as the mean ± SEM. (Control group n = 10, other groups n = 5, respectively) *P < 0.05, **P < 0.001 vs. Control, #P < 0.05, ##P < 0.001 vs. AngII high dose