Abstract
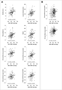
Individuals with masked hypertension (MHT) have a greater risk of adverse cardiovascular outcomes than normotensive (NT) individuals. Exploring metabolomic differences between NT and MHT individuals may help provide a better understanding of the etiology of MHT. We analyzed data from 910 young participants (83% NT and 17% MHT) (mean age 24 ± 3 years) from the African-PREDICT and 210 older participants (63% NT and 37% MHT) from the SABPA (mean age 42 ± 9.6 years) studies. Clinic and ambulatory blood pressures (BPs) were used to define BP phenotypes. Urinary amino acids and acylcarnitines were measured using liquid chromatography time-of-flight mass spectrometry in SABPA and liquid chromatography tandem mass spectrometry in the African-PREDICT studies. In the SABPA study, amino acids (leucine/isoleucine, valine, methionine, phenylalanine), free carnitine (C0-carnitine), and acylcarnitines C3 (propionyl)-, C4 (butyryl)-carnitine and total acylcarnitine) were higher in MHT than NT adults. In the African-PREDICT study, C0- and C5-carnitines were higher in MHT individuals. With unadjusted analyses in NT adults from the SABPA study, ambulatory SBP correlated positively with only C3-carnitine. In MHT individuals, positive correlations of ambulatory SBP with leucine/isoleucine, valine, methionine, phenylalanine, C0-carnitine and C3-carnitine were evident (all p < 0.05). In the African-PREDICT study, ambulatory SBP correlated positively with C0-carnitine (r = 0.101; p = 0.006) and C5-carnitine (r = 0.195; p < 0.001) in NT adults and C5-carnitine in MHT individuals (r = 0.169; p = 0.034). We demonstrated differences between the metabolomic profiles of NT and MHT adults, which may reflect different stages in the alteration of branched-chain amino acid metabolism early on and later in life.
This is a preview of subscription content, access via your institution
Access options
Subscribe to this journal
Receive 12 print issues and online access
$259.00 per year
only $21.58 per issue
Buy this article
- Purchase on SpringerLink
- Instant access to the full article PDF.
USD 39.95
Prices may be subject to local taxes which are calculated during checkout



Similar content being viewed by others
References
Global Burden of Disease 2019 Risk Factors Collaborators. Global burden of 87 risk factors in 204 countries and territories, 1990-2019: A systematic analysis for the Global Burden of Disease Study 2019. Lancet. 2020;396:1223–49.
Unger T, Borghi C, Charchar F, Khan NA, Poulter NR, Prabhakaran D, et al. 2020 International society of hypertension global hypertension practice guidelines. Hypertension. 2020;75:1334–57.
Cuspidi C, Tadic M, Grassi G. How to unmask masked hypertension: The role of office aortic blood pressure. Hypertens Res. 2021;44:256–8.
Antza C, Vazakidis P, Doundoulakis I, Bouras E, Haidich AB, Stabouli S, et al. Masked and white coat hypertension, the double trouble of large arteries: a systematic review and meta-analysis. J Clin Hypertens. 2020;22:802–11.
Cuspidi C, Facchetti R, Quarti-Trevano F, Sala C, Tadic M, Grassi G, et al. Incident left ventricular hypertrophy in masked hypertension. Hypertension. 2019;74:56–62.
Sekoba NP, Kruger R, Labuschagne P, Schutte AE. Left ventricular mass independently associates with masked hypertension in young healthy adults: The African-PREDICT study. J Hypertens. 2018;36:1689–96.
Tientcheu D, Ayers C, Das SR, McGuire DK, de Lemos JA, Khera A, et al. Target organ complications and cardiovascular events associated with masked hypertension and white-coat hypertension: analysis from the Dallas Heart Study. J Am Coll Cardiol. 2015;66:2159–69.
Thompson JE, Smith W, Ware LJ, C MCM, van Rooyen JM, Huisman HW, et al. Masked hypertension and its associated cardiovascular risk in young individuals: The African-PREDICT study. Hypertens Res. 2016;39:158–65.
Palla M, Saber H, Konda S, Briasoulis A. Masked hypertension and cardiovascular outcomes: an updated systematic review and meta-analysis. Integr Blood Press Control. 2018;11:11–24.
Zhang D-Y, Guo Q-H, An D-W, Li Y, Wang J-G. A comparative meta-analysis of prospective observational studies on masked hypertension and masked uncontrolled hypertension defined by ambulatory and home blood pressure. J Hypertens. 2019;37:1775–85.
Stergiou GS, Asayama K, Thijs L, Kollias A, Niiranen TJ, Hozawa A, et al. Prognosis of white-coat and masked hypertension: International Database of HOme blood pressure in relation to Cardiovascular Outcome. Hypertension. 2014;63:675–82.
Harrison DG, Coffman TM, Wilcox CS. Pathophysiology of hypertension: The Mosaic Theory and beyond. Circ Res. 2021;128:847–63.
Tzoulaki I, Iliou A, Mikros E, Elliott P. An overview of metabolic phenotyping in blood pressure research. Curr Hypertens Rep. 2018;20:78 https://doi.org/10.1007/s11906-018-0877-8.
Chakraborty S, Mandal J, Yang T, Cheng X, Yeo J-Y, McCarthy CG, et al. Metabolites and hypertension: Insights into hypertension as a metabolic disorder. Hypertension. 2020;75:1386–96.
McGarrah RW, Crown SB, Zhang G-F, Shah SH, Newgard CB. Cardiovascular metabolomics. Circ Res. 2018;122:1238–58.
Newgard CB, An J, Bain JR, Muehlbauer MJ, Stevens RD, Lien LF, et al. A branched-chain amino acid-related metabolic signature that differentiates obese and lean humans and contributes to insulin resistance. Cell Metab. 2009;9:311–26.
Guasch-Ferré M, Hruby A, Toledo E, Clish CB, Martínez-González MA, Salas-Salvadó J, et al. Metabolomics in prediabetes and diabetes: A systematic review and meta-analysis. Diabetes Care. 2016;39:833–46.
Schutte AE, Gona PN, Delles C, Uys AS, Burger A, Mels CM, et al. The African Prospective study on the Early Detection and Identification of Cardiovascular disease and Hypertension (African-PREDICT): Design, recruitment and initial examination. Eur J Prev Cardiol. 2019;26:458–70.
Malan L, Hamer M, Frasure-Smith N, Steyn HS, Malan NT. Cohort Profile: Sympathetic activity and Ambulatory Blood Pressure in Africans (SABPA) prospective cohort study. Int J Epidemiol. 2014;44:1814–22.
Mels CMC, Schutte AE, Erasmus E, Huisman HW, Schutte R, Fourie CMT, et al. l-Carnitine and long-chain acylcarnitines are positively correlated with ambulatory blood pressure in humans: The SABPA Study. Lipids. 2013;48:63–73.
Ekoru K, Murphy G, Young E, Delisle H, Jerome C, Assah F, et al. Deriving an optimal threshold of waist circumference for detecting cardiometabolic risk in sub-Saharan Africa. Int J Obes. 2018;42:487–94.
Yang W-Y, Thijs L, Zhang Z-Y, Asayama K, Boggia J, Hansen TW, et al. Evidence-based proposal for the number of ambulatory readings required for assessing blood pressure level in research settings: an analysis of the IDACO database. Blood Press. 2018;27:341–50.
De Beer D, Mels CM, Schutte AE, Louw R, Delles C, Kruger RJN, et al. Left ventricular mass and urinary metabolomics in young black and white adults: the African-PREDICT study. Nutr Metab Cardiovasc Dis. 2020;30:2051–62.
Mels CM, Delles C, Louw R, Schutte AEJJoh. Central systolic pressure and a nonessential amino acid metabolomics profile: the African Prospective study on the Early Detection and Identification of Cardiovascular disease and Hypertension. J Hypertens. 2019;37:1157–66.
van Deventer CA, Lindeque JZ, van Rensburg PJ, Malan L, van der Westhuizen FH, Louw R. Use of metabolomics to elucidate the metabolic perturbation associated with hypertension in a black South African male cohort: the SABPA study. J Am Soc Hypertens. 2015;9:104–14.
Selvin E, Steffes MW, Zhu H, Matsushita K, Wagenknecht L, Pankow J, et al. Glycated hemoglobin, diabetes, and cardiovascular risk in nondiabetic adults. N. Eng J Med. 2010;362:800–11.
Minkler PE, Stoll MS, Ingalls ST, Kerner J, Hoppel CL. Validated method for the quantification of free and total carnitine, butyrobetaine, and acylcarnitines in biological samples. Anal Chem. 2015;87:8994–9001.
Newgard CB. Interplay between lipids and branched-chain amino acids in development of insulin resistance. Cell Metab. 2012;15:606–14.
Wu G. Amino acids: Metabolism, functions, and nutrition. Amino acids. 2009;37:1–17.
Zhang Z-Y, Monleon D, Verhamme P, Staessen JA. Branched-chain amino acids as critical switches in health and disease. Hypertension. 2018;72:1012–22.
van Vliet S, Burd NA, van Loon LJ. The skeletal muscle anabolic response to plant- versus animal-based protein consumption. J Nutr. 2015;145:1981–91.
Merz B, Frommherz L, Rist MJ, Kulling SE, Bub A, Watzl B. Dietary pattern and plasma BCAA-variations in healthy men and women-results from the KarMeN Study. Nutrients. 2018;10:623 https://doi.org/10.3390/nu10050623.
Ye Z, Wang S, Zhang C, Zhao Y. Coordinated modulation of energy metabolism and inflammation by branched-chain amino acids and fatty acids. Front Endocrinol. 2020;11:617 https://doi.org/10.3389/fendo.2020.00617.
Flores-Guerrero JL, Groothof D, Connelly MA, Otvos JD, Bakker SJL, Dullaart RPF. Concentration of branched-chain amino acids is a strong risk marker for incident hypertension. Hypertension. 2019;74:1428–35.
Tobias DK, Lawler PR, Harada PH, Demler OV, Ridker PM, Manson JE, et al. Circulating branched-chain amino acids and incident cardiovascular disease in a prospective cohort of US women. Circ Genom Precis Med. 2018;11:e002157–e002157.
Ruiz-Canela M, Toledo E, Clish CB, Hruby A, Liang L, Salas-Salvadó J, et al. Plasma branched-chain amino acids and incident cardiovascular disease in the PREDIMED Trial. Clin Chem. 2016;62:582–92.
Sciarretta S, Volpe M, Sadoshima J. Mammalian target of rapamycin signaling in cardiac physiology and disease. Circ Res. 2014;114:549–64.
Latimer MN, Sonkar R, Mia S, Frayne IR, Carter KJ, Johnson CA, et al. Branched chain amino acids selectively promote cardiac growth at the end of the awake period. J Mol Cell Cardiol. 2021;157:31–44.
Gao X-M, Wong G, Wang B, Kiriazis H, Moore X-L, su Y, et al. Inhibition of mTOR reduces chronic pressure-overload cardiac hypertrophy and fibrosis. J Hypertens. 2006;24:1663–70.
Wongkittichote P, Ah Mew N, Chapman KA. Propionyl-CoA carboxylase – A review. Mol Genet Metab. 2017;122:145–52.
Sharma S, Black SM. Carnitine homeostasis, mitochondrial function, and cardiovascular disease. Drug Disco Today Dis Mech. 2009;6:e31–e39.
Brunt VE, Gioscia-Ryan RA, Casso AG, VanDongen NS, Ziemba BP, Sapinsley ZJ, et al. Trimethylamine-N-Oxide promotes age-related vascular oxidative stress and endothelial dysfunction in mice and healthy humans. Hypertension. 2020;76:101–12.
Brunt VE, Casso AG, Gioscia-Ryan RA, Sapinsley ZJ, Ziemba BP, Clayton ZS, et al. Gut microbiome-derived metabolite Trimethylamine N-Oxide induces aortic stiffening and increases systolic blood pressure with aging in mice and humans. Hypertension. 2021;78:499–511.
Lopaschuk GD, Ussher JR, Folmes CDL, Jaswal JS, Stanley WC. Myocardial fatty acid metabolism in health and disease. Physiol Rev. 2010;90:207–58.
de las Fuentes L, Herrero P, Peterson LR, Kelly DP, Gropler RJ, Dávila-Román VG. Myocardial fatty acid metabolism: Independent predictor of left ventricular mass in hypertensive heart disease. Hypertension. 2003;41:83–7.
Stühlinger MC, Tsao PS, Her J-H, Kimoto M, Balint RF, Cooke JP. Homocysteine impairs the nitric oxide synthase pathway. Circulation. 2001;104:2569–75.
Yang R, Dong J, Zhao H, Li H, Guo H, Wang S, et al. Association of branched-chain amino acids with carotid intima-media thickness and coronary artery disease risk factors. PLoS One. 2014;9:e99598.
Kauko A, Palmu J, Jousilahti P, Havulinna A, Salomaa V, Niiranen T. Associations between circulating metabolites and arterial stiffness. J Hum Hypertens. 2021;35:809–11.
Hänninen M-RA, Niiranen TJ, Puukka PJ, Kesäniemi YA, Kähönen M, Jula AM. Target organ damage and masked hypertension in the general population: the Finn-Home study. J Hypertens. 2013;31:1136–43.
Acknowledgements
The authors are grateful to all individuals who voluntarily participated in the SABPA and African-PREDICT studies. The dedication of the support and research staff as well as students at the Hypertension Research and Training Clinic at the North-West University are also duly acknowledged. The SABPA study would not have been possible without collaboration with the Department of Education, North-West Province, South Africa. Images were obtained from Servier Medical Art (smart.servier.com).
Funding
With regard to the African-PREDICT study, the research funded in this manuscript is part of an ongoing larger research project financially supported by the South African Medical Research Council (SAMRC) with funds from National Treasury under its Economic Competitiveness and Support Package; the South African Research Chairs Initiative (SARChI) of the Department of Science and Technology and National Research Foundation (NRF) of South Africa (GUN 86895); SAMRC with funds received from the South African National Department of Health, GlaxoSmithKline R&D (Africa Non-Communicable Disease Open Lab grant), the UK Medical Research Council and with funds from the UK Government’s Newton Fund; and corporate social investment grants from Pfizer (South Africa), Boehringer-Ingelheim (South Africa), Novartis (South Africa), the Medi Clinic Hospital Group (South Africa) and in-kind contributions of Roche Diagnostics (South Africa). Any opinion, findings, and conclusions or recommendations expressed in this material are those of the authors, and therefore, the NRF does not accept any liability in this regard. The SABPA study was supported by the National Research Foundation, South Africa; the North-West University, Potchefstroom, South Africa; and the Metabolic Syndrome Institute, France.
Author information
Authors and Affiliations
Corresponding author
Ethics declarations
Conflict of interest
Research fund: RK (South African Research Chairs Initiative (SARChI)).
Additional information
Publisher’s note Springer Nature remains neutral with regard to jurisdictional claims in published maps and institutional affiliations.
Supplementary information
Rights and permissions
Springer Nature or its licensor holds exclusive rights to this article under a publishing agreement with the author(s) or other rightsholder(s); author self-archiving of the accepted manuscript version of this article is solely governed by the terms of such publishing agreement and applicable law.
About this article
Cite this article
Strauss-Kruger, M., Kruger, R., Jansen Van Vuren, E. et al. Identifying a metabolomics profile associated with masked hypertension in two independent cohorts: Data from the African-PREDICT and SABPA studies. Hypertens Res 45, 1781–1793 (2022). https://doi.org/10.1038/s41440-022-01010-2
Received:
Revised:
Accepted:
Published:
Version of record:
Issue date:
DOI: https://doi.org/10.1038/s41440-022-01010-2
Keywords
This article is cited by
-
Identification of serum metabolic markers in non-obese hypertensive patients using non-targeted metabolomics
Scientific Reports (2025)
-
2023 update and perspectives
Hypertension Research (2024)
-
Urinary metabolomics signature of animal and plant protein intake and its association with 24-h blood pressure: the African-PREDICT study
Hypertension Research (2024)
-
Urinary metabolomics, dietary salt intake and blood pressure: the African-PREDICT study
Hypertension Research (2023)


