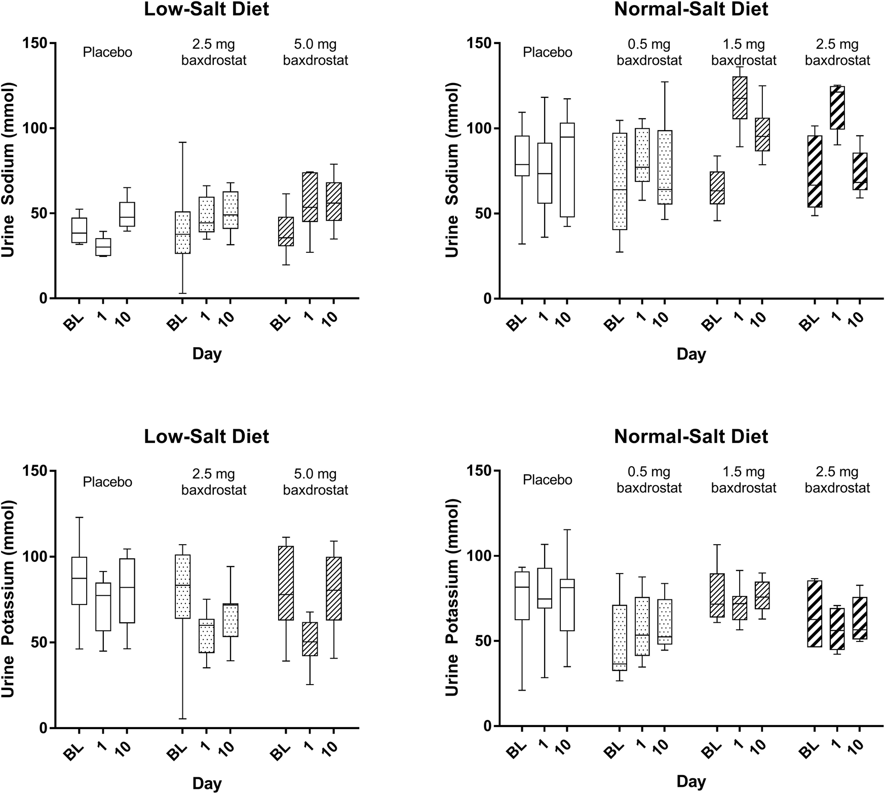
Fig. 4

Urinary Sodium and Potassium Concentrations Following Baxdrostat Administration. Urine sodium and potassium concentrations at baseline (BL), day 1, and day 10. Box whiskers show interquartile range (box) and minimum-maximum (whiskers) for sodium or potassium from 24 h urine collections