Abstract
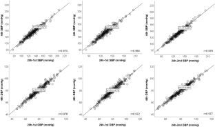
Hypertension is highly prevalent in hemodialysis patients. Ambulatory-BP-monitoring(ABPM) during the 44 h interdialytic interval is recommended for hypertension diagnosis and management in these subjects. This study assessed the diagnostic accuracy of fixed 24 h ABPM recordings with 44 h BP in hemodialysis patients. 242 Greek hemodialysis patients that underwent valid 48 h ABPM(Mobil-O-Graph NG device) were included in the analysis. We used 44 h BP as reference method and tested the accuracy of the following BP metrics: 1st 24 h without HD period (20 h-1st), 1st 24 h including HD period (24 h–1st) and 2nd 24 h(24 h–2nd). All studied metrics showed strong correlations with 44 h SBP/DBP (20 h–1st: r = 0.973/0.978, 24 h–1st: r = 0.964/0.972 and 24 h–2nd: r = 0.978/0.977, respectively). In Bland-Altman analysis, small between-method differences (−1.70, −1.19 and +1.45 mmHg) with good 95% limits-of agreement([−10.83 to 7.43], [−11.12 to 8.74] and [−6.33 to 9.23] mmHg, respectively) for 20 h–1st, 24 h–1st and 24 h–2nd SBP were observed. The sensitivity/specificity and κ-statistic for diagnosing 44 h SBP ≥ 130 mmHg were high for 20 h–1st SBP(87.2%/96.0%, κ-statistic = 0.817), 24 h–1st SBP(88.7%/96.0%, κ-statistic = 0.833) and 24 h–2nd SBP (95.0%/88.1%, κ-statistic = 0.837). Similar observations were made for DBP. In ROC-analyses, all studied BP metrics showed excellent performance with high Area-Under-the- Curve values (20 h–1st: 0.983/0.992; 24 h–1st: 0.984/0.987 and 24 h–2nd: 0.982/0.989 for SBP/DBP respectively). Fixed 24 h ABPM recordings during either the first or the second day of interdialytic interval have high accuracy and strong agreement with 44 h BP in hemodialysis patients. Thus, ABPM recordings of either the first or the second interdialytic day could be used for hypertension diagnosis and management in these subjects.

This is a preview of subscription content, access via your institution
Access options
Subscribe to this journal
Receive 12 print issues and online access
$259.00 per year
only $21.58 per issue
Buy this article
- Purchase on SpringerLink
- Instant access to the full article PDF.
USD 39.95
Prices may be subject to local taxes which are calculated during checkout



Similar content being viewed by others
References
Sarafidis PA, Persu A, Agarwal R, Burnier M, de Leeuw P, Ferro C, et al. Hypertension in dialysis patients: a consensus document by the European Renal and Cardiovascular Medicine (EURECA-m) working group of the European Renal Association - European Dialysis and Transplant Association (ERA-EDTA) and the Hypertension and the Kidney working group of the European Society of Hypertension (ESH). J Hypertens. 2017;35:657–76.
Sarafidis PA, Mallamaci F, Loutradis C, Ekart R, Torino C, Karpetas A, et al. Prevalence and control of hypertension by 48-h ambulatory blood pressure monitoring in haemodialysis patients: a study by the European Cardiovascular and Renal Medicine (EURECA-m) working group of the ERA-EDTA. Nephrol Dial Transpl. 2018;33:1872.
K/DOQI Workgroup. K/DOQI clinical practice guidelines for cardiovascular disease in dialysis patients. Am J Kidney Dis. 2005;45:S1–153.
Zoccali C, Tripepi R, Torino C, Tripepi G, Mallamaci F. Moderator’s view: ambulatory blood pressure monitoring and home blood pressure for the prognosis, diagnosis and treatment of hypertension in dialysis patients. Nephrol Dial Transpl. 2015;30:1443–8.
Foley RN, Herzog CA, Collins AJ, United States Renal Data System. Blood pressure and long-term mortality in United States hemodialysis patients: USRDS Waves 3 and 4 Study. Kidney Int. 2002;62:1784–90.
Robinson BM, Tong L, Zhang J, Wolfe RA, Goodkin DA, Greenwood RN, et al. Blood pressure levels and mortality risk among hemodialysis patients in the dialysis outcomes and practice patterns study. Kidney Int. 2012;82:570–80.
Kovesdy CP, Bleyer AJ, Molnar MZ, Ma JZ, Sim JJ, Cushman WC, et al. Blood pressure and mortality in U.S. veterans with chronic kidney disease: a cohort study. Ann Intern Med. 2013;159:233–42.
Agarwal R, Metiku T, Tegegne GG, Light RP, Bunaye Z, Bekele DM, et al. Diagnosing hypertension by intradialytic blood pressure recordings. Clin J Am Soc Nephrol. 2008;3:1364–72.
Amar J, Vernier I, Rossignol E, Bongard V, Arnaud C, Conte JJ, et al. Nocturnal blood pressure and 24-hour pulse pressure are potent indicators of mortality in hemodialysis patients. Kidney Int. 2000;57:2485–91.
Agarwal R, Brim NJ, Mahenthiran J, Andersen MJ, Saha C. Out-of-hemodialysis-unit blood pressure is a superior determinant of left ventricular hypertrophy. Hypertension. 2006;47:62–68.
Agarwal R. Blood pressure and mortality among hemodialysis patients. Hypertension. 2010;55:762–8.
Parati G, Ochoa JE, Bilo G, Agarwal R, Covic A, Dekker FW, et al. Hypertension in chronic kidney disease part 1: out-of-office blood pressure monitoring: methods, thresholds, and patterns. Hypertension. 2016;67:1093–101.
Karpetas A, Loutradis C, Bikos A, Tzanis G, Koutroumpas G, Lazaridis AA, et al. Blood pressure variability is increasing from the first to the second day of the interdialytic interval in hemodialysis patients. J Hypertens. 2017;35:2517–26.
Alexandrou ME, Loutradis C, Schoina M, Tzanis G, Dimitriadis C, Sachpekidis V, et al. Ambulatory blood pressure profile and blood pressure variability in peritoneal dialysis compared with hemodialysis and chronic kidney disease patients. Hypertens Res. 2020;43:903–13.
Sarafidis PA, Loutradis C, Karpetas A, Tzanis G, Bikos A, Raptis V, et al. The association of interdialytic blood pressure variability with cardiovascular events and all-cause mortality in haemodialysis patients. Nephrol Dial Transpl. 2019;34:515–23.
Flythe JE, Chang TI, Gallagher MP, Lindley E, Madero M, Sarafidis PA, et al. Blood pressure and volume management in dialysis: conclusions from a Kidney Disease: Improving Global Outcomes (KDIGO) Controversies Conference. Kidney Int. 2020;97:861–76.
Torino C, Mallamaci F, Sarafidis P, Papagianni A, Ekart R, Hojs R, et al. MO891: poor tolerability of the standard, extended, 48h ambulatory blood pressure monitoring in haemodialysis patients. Nephrol Dial Transpl. 2022;37:gfac083.073.
Sarafidis PA, Loutradis C, Karpetas A, Tzanis G, Piperidou A, Koutroumpas G, et al. Ambulatory pulse wave velocity is a stronger predictor of cardiovascular events and all-cause mortality than office and ambulatory blood pressure in hemodialysis patients. Hypertension. 2017;70:148–57.
Franssen PML, Imholz BPM. Evaluation of the Mobil-O-Graph new generation ABPM device using the ESH criteria. Blood Press Monit. 2010;15:229–31.
Wei W, Tölle M, Zidek W, van der Giet M. Validation of the Mobil-O-Graph: 24 h-blood pressure measurement device. Blood Press Monit. 2010;15:225–8.
Sarafidis PA, Lazaridis AA, Imprialos KP, Georgianos PI, Avranas KA, Protogerou AD, et al. A comparison study of brachial blood pressure recorded with Spacelabs 90217A and Mobil-O-Graph NG devices under static and ambulatory conditions. J Hum Hypertens. 2016;30:742–9.
Parati G, Stergiou G, O’Brien E, Asmar R, Beilin L, Bilo G, et al. European Society of Hypertension practice guidelines for ambulatory blood pressure monitoring. J Hypertens. 2014;32:1359–66.
Bland JM, Altman DG. Measuring agreement in method comparison studies. Stat Methods Med Res. 1999;8:135–60.
McHugh ML. Interrater reliability: the kappa statistic. Biochem Med. 2012;22:276–82.
Sarafidis P, Theodorakopoulou MP, Loutradis C, Iatridi F, Alexandrou M-E, Karpetas A, et al. Accuracy of peridialytic, intradialytic, and scheduled interdialytic recordings in detecting elevated ambulatory blood pressure in hemodialysis patients. Am J Kidney Dis. 2021;78:630–639.e1.
Agarwal R, Peixoto AJ, Santos SFF, Zoccali C. Pre- and postdialysis blood pressures are imprecise estimates of interdialytic ambulatory blood pressure. Clin J Am Soc Nephrol. 2006;1:389–98.
Parati G, Ochoa JE, Bilo G, Agarwal R, Covic A, Dekker FW, et al. Hypertension in chronic kidney disease Part 2: role of ambulatory and home blood pressure monitoring for assessing alterations in blood pressure variability and blood pressure profiles. Hypertension. 2016;67:1102–10.
Parati G, Stergiou GS, Asmar R, Bilo G, de Leeuw P, Imai Y, et al. European Society of Hypertension practice guidelines for home blood pressure monitoring. J Hum Hypertens. 2010;24:779–85.
Agarwal R, Andersen MJ, Bishu K, Saha C. Home blood pressure monitoring improves the diagnosis of hypertension in hemodialysis patients. Kidney Int. 2006;69:900–6.
Alborzi P, Patel N, Agarwal R. Home blood pressures are of greater prognostic value than hemodialysis unit recordings. Clin J Am Soc Nephrol. 2007;2:1228–34.
Iatridi F, Theodorakopoulou MP, Karpetas A, Bikos A, Karagiannidis AG, Alexandrou M-E, et al. Association of peridialytic, intradialytic, scheduled interdialytic and ambulatory BP recordings with cardiovascular events in hemodialysis patients. J Nephrol. 2022;35:943–54.
Bikos A, Angeloudi E, Memmos E, Loutradis C, Karpetas A, Ginikopoulou E, et al. A comparative study of short-term blood pressure variability in hemodialysis patients with and without intradialytic hypertension. Am J Nephrol. 2018;48:295–305.
Iatridi F, Theodorakopoulou MP, Karpetas A, Sgouropoulou V, Georgiou A, Karkamani E, et al. Association of intradialytic hypertension with future cardiovascular events and mortality in hemodialysis patients: effects of ambulatory blood pressure. Am J Nephrol. 2023. https://doi.org/10.1159/000531477.
Zoccali C, Benedetto FA, Tripepi G, Cambareri F, Panuccio V, Candela V, et al. Nocturnal hypoxemia, night-day arterial pressure changes and left ventricular geometry in dialysis patients. Kidney Int. 1998;53:1078–84.
Tripepi G, Fagugli RM, Dattolo P, Parlongo G, Mallamaci F, Buoncristiani U, et al. Prognostic value of 24-hour ambulatory blood pressure monitoring and of night/day ratio in nondiabetic, cardiovascular events-free hemodialysis patients. Kidney Int. 2005;68:1294–302.
Liu W, Ye H, Tang B, Sun Z, Wen P, Wu W, et al. Comparison of 44-hour and fixed 24-hour ambulatory blood pressure monitoring in dialysis patients. J Clin Hypertens. 2014;16:63–69.
Funding
This work was not supported by any source and represents an original effort of the authors.
Author information
Authors and Affiliations
Corresponding author
Ethics declarations
Conflict of interest
The authors declare no competing interests.
Additional information
Publisher’s note Springer Nature remains neutral with regard to jurisdictional claims in published maps and institutional affiliations.
Supplementary information
Rights and permissions
Springer Nature or its licensor (e.g. a society or other partner) holds exclusive rights to this article under a publishing agreement with the author(s) or other rightsholder(s); author self-archiving of the accepted manuscript version of this article is solely governed by the terms of such publishing agreement and applicable law.
About this article
Cite this article
Theodorakopoulou, M., Georgiou, A., Iatridi, F. et al. Accuracy of 24 h ambulatory blood pressure recordings for diagnosing high 44 h blood pressure in hemodialysis: a diagnostic test study. Hypertens Res 47, 1042–1050 (2024). https://doi.org/10.1038/s41440-024-01584-z
Received:
Revised:
Accepted:
Published:
Version of record:
Issue date:
DOI: https://doi.org/10.1038/s41440-024-01584-z
Keywords
This article is cited by
-
Beta-blockers in patients with intradialytic hypertension: are they potent anti-hypertensives?
International Urology and Nephrology (2024)


