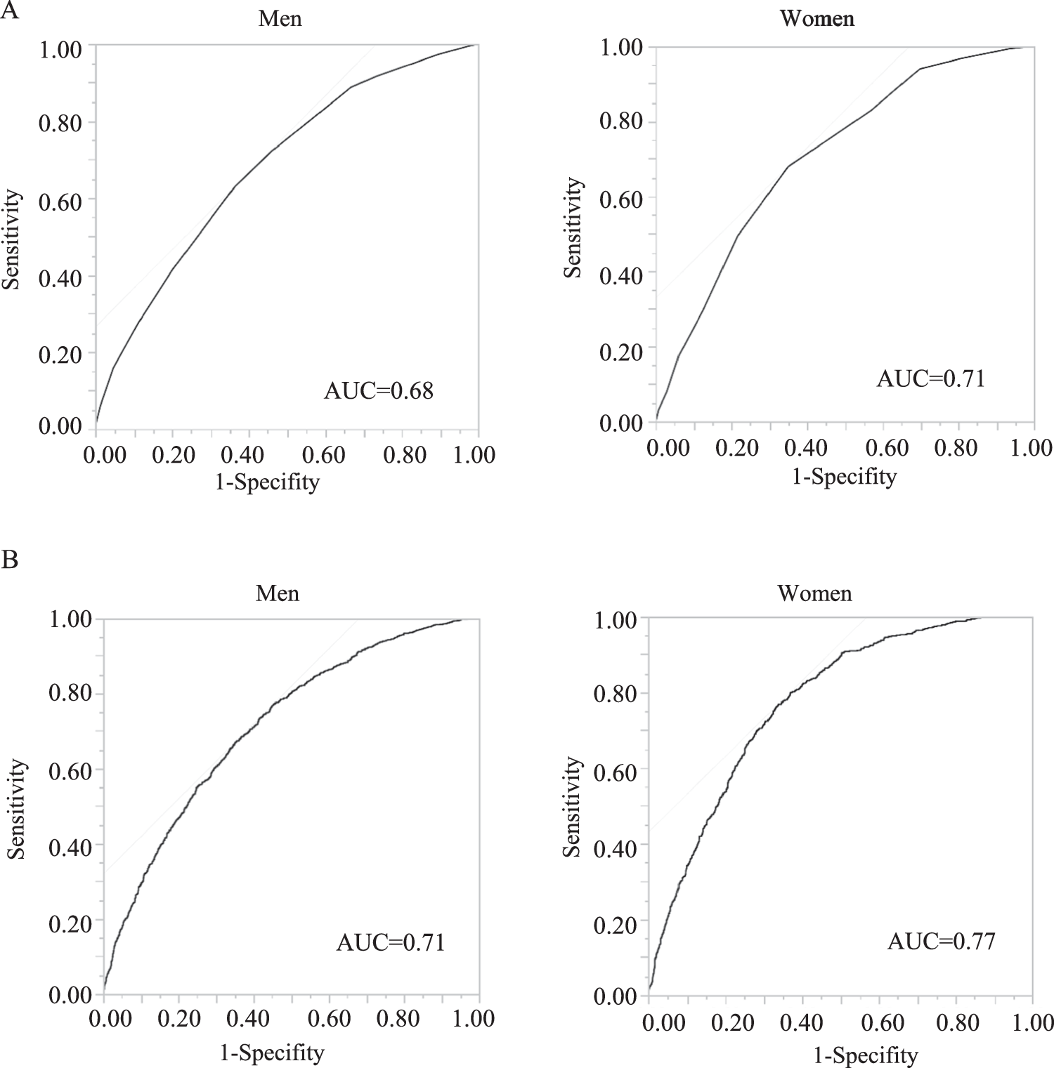
Fig. 1

ROC for the 5-year incidence of baPWV ≥1400 cm/s. A ROC curves of the risk-prediction score in men and women; B ROC curves plotted using continuous values of the risk factors of the prediction equation in men and women. ROC receiver operating characteristic, AUC area under the curve