Abstract
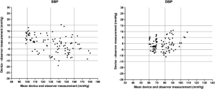
The aim of this study was to evaluate the accuracy of a watch-type oscillometric BP monitor HUAWEI WATCH D2 for rest and ambulatory BP measurements and compare with a conventional ambulatory BP monitor (A&D TM-2430, Tokyo, Japan). Subjects were recruited to fulfill the age, gender, BP and cuff distributions of the AAMI/ESH/ISO Universal Standard in the general population. Two cuffs of the test device were used for wrist circumference 13–16 (medium) and 16–21 cm (large), respectively. During the ambulatory validation study, subjects were asked to pedal at a low workload to elevate heart rate. For the 24-h ambulatory measurement, two BP monitoring devices were simultaneously worn on the same arm with the A&D cuff on the patient’s left arm and the HUAWEI WATCH D2 on the left wrist. In the study on rest BP measurement, 95 subjects were recruited and 85 were analyzed. For validation criterion 1, the mean ± standard deviation (SD) of the differences between the test device and reference BP readings was −1.6 ± 6.4/−1.9 ± 5.0 mmHg. For criterion 2, the SD of the mean BP differences between the test device and reference BP readings per subject was 5.8/4.7 mmHg. In the ambulatory validation study, the mean difference between the device and observers was −0.9 ± 7.3 mmHg and −0.7 ± 4.9 mmHg for systolic and diastolic BP, respectively. We also compared the 24-h BP data with the HUAWEI WATCH D2 and cuff-based A&D in 35 adults. The mean difference (±SD) in systolic/diastolic BP between the device and A&D were −1.1 ± 6.3/1.0 ± 4.2 mmHg, −2.0 ± 6.5/−0.2 ± 4.7 mmHg and 1.2 ± 6.7/ 4.2 ± 4.4 mmHg for 24-h, daytime and nighttime, respectively. The watch-type oscillometric BP monitor HUAWEI WATCH D2 has met the requirements of the AAMI/ESH/ISO Universal Standard (ISO 81060-2: 2018/AMD 1: 2020) in both rest and ambulatory measurements. Moreover, the HUAWEI WATCH D2 achieved acceptable agreement with 24-h ambulatory BP measurement.

This is a preview of subscription content, access via your institution
Access options
Subscribe to this journal
Receive 12 print issues and online access
$259.00 per year
only $21.58 per issue
Buy this article
- Purchase on SpringerLink
- Instant access to the full article PDF.
USD 39.95
Prices may be subject to local taxes which are calculated during checkout



Similar content being viewed by others
References
Roth GA, Mensah GA, Johnson CO, Addolorato G, Ammirati E, Baddour LM, et al. GBD-NHLBI-JACC Global Burden of Cardiovascular Diseases Writing Group. Global burden of cardiovascular diseases and risk factors, 1990-2019: update from the GBD 2019 study. J Am Coll Cardiol. 2020;76:2982–3021.
GBD 2019 Risk Factors Collaborators.Global burden of 87 risk factors in 204 countries and territories, 1990-2019: a systematic analysis for the Global Burden of Disease Study 2019. Lancet. 2020;396:1223–49.
Shin J, Wang JG, Chia YC, Kario K, Chen CH, Cheng HM, et al. The HOPE Asia Network consensus on blood pressure measurements corresponding to office measurements: Automated office, home, and ambulatory blood pressures. J Clin Hypertens. (Greenwich). 2023. Online ahead of print.
Mancia G, Kreutz R, Brunström M, Burnier M, Grassi G, Januszewicz A, et al. 2023 ESH Guidelines for the management of arterial hypertension The Task Force for the management of arterial hypertension of the European Society of Hypertension: Endorsed by the International Society of Hypertension (ISH) and the European Renal Association (ERA). J Hypertens. 2023;41:1874–2071.
McEvoy JW, McCarthy CP, Bruno RM, Brouwers S, Canavan MD, Ceconi C, et al. ESC Scientific Document Group. 2024 ESC Guidelines for the management of elevated blood pressure and hypertension. Eur Heart J. 2024;45:3912–4018.
Unger T, Borghi C, Charchar F, Khan NA, Poulter NR, Prabhakaran D, et al. 2020 International Society of Hypertension Global Hypertension Practice Guidelines. Hypertension. 2020;75:1334–57.
Kario K, Hoshide S, Chia YC, Buranakitjaroen P, Siddique S, Shin J, et al. Guidance on ambulatory blood pressure monitoring: A statement from the HOPE Asia Network. J Clin Hypertens (Greenwich). 2021;23:411–21.
Hodgkinson J, Mant J, Martin U, Guo B, Hobbs FD, Deeks JJ, et al. Relative effectiveness of clinic and home blood pressure monitoring compared with ambulatory blood pressure monitoring in diagnosis of hypertension: systematic review. BMJ. 2011;342:d3621.
Postel-Vinay N, Bobrie G, Savard S, Persu A, Amar L, Azizi M, et al. Home blood pressure measurement and digital health: communication technologies create a new context. J Hypertens. 2018;36:2125–31.
Logan AG. Community hypertension programs in the age of mobile technology and social media. Am J Hypertens. 2014;27:1033–5.
Zhang W, Zhou YN, Zhou Y, Wang JG. Validation of the watch-type HUAWEI WATCH D oscillometric wrist blood pressure monitors in adult Chinese. Blood Press Monit. 2022;27:353–6.
Stergiou GS, Palatini P, Asmar R, Ioannidis JP, Kollias A, Lacy P, et al. European Society of Hypertension Working Group on Blood Pressure Monitoring. Recommendations and practical guidance for performing and reporting validation studies according to the universal standard for the validation of blood pressure measuring devices by the Association for the Advancement of Medical Instrumentation/European Society of Hypertension/International Organization for Standardization (AAMI/ESH/ISO). J Hypertens. 2019;37:459–66.
International Organization for Standardization. ISO 81060-2:2018. Noninvasive sphygmomanometers: part 2: clinical investigation of intermittent automated measurement type. https://www.iso.org/standard/73339.html. [Accessed 23 July 2019].
Stergiou GS, Alpert B, Mieke S, Asmar R, Atkins N, Eckert S, et al. A universal standard for the validation of blood pressure measuring devices: Association for the Advancement of Medical Instrumentation/ European Society of Hypertension/International Organization for Standardization (AAMI/ESH/ISO) Collaboration Statement. J Hypertens. 2018;36:472–8.
Yip GW, So HK, Li AM, Tomlinson B, Wong SN, Sung R. Validation of A&D TM-2430 upper-arm blood pressure monitor for ambulatory blood pressure monitoring in children and adolescents, according to the British Hypertension Society protocol. Blood Press Monit. 2012;17:76–9.
Kuwabara M, Harada K, Hishiki Y, Kario K. Validation of two watch-type wearable blood pressure monitors according to the ANSI/ AAMI/ISO81060-2:2013 guidelines: Omron HEM-6410T-ZM and HEM-6410T-ZL. J Clin Hypertens. 2019;21:853–8.
Vaseekaran M, Kaese S, Gorlich D, Wiemer M, Samol A. WATCH-BPM-Comparison of a WATCH-type blood pressure monitor with a conventional ambulatory blood pressure monitor and auscultatory sphygmomanometry. Sensors (Basel). 2023;23:8877.
Pan HY, Lee CK, Liu TY, Lee GW, Chen CW, Wang TD. The role of wearable home blood pressure monitoring in detecting out-of-office control status. Hypertens Res. 2024;46:1033–41.
Lunardi M, Muhammad F, Shahzad A, Nadeem A, Combe L, Simpkin AJ, et al. Performance of wearable watch-type home blood pressure measurement devices in a real-world clinical sample. Clin Res Cardiol. 2024;113:1393–404.
Cepeda M, Pham P, Shimbo D. Status of ambulatory blood pressure monitoring and home blood pressure monitoring for the diagnosis and management of hypertension in the US: an up-to-date review. Hypertens Res. 2023;46:620–9.
Panagiotakos D, Antza C, Kotsis V. Ambulatory and home blood pressure monitoring for cardiovascular disease risk evaluation: a systematic review and meta-analysis of prospective cohort studies. J Hypertens. 2024;42:1–9.
Mancia G, Facchetti R, Seravalle G, Cuspidi C, Corrao G, Grassi G. Adding home and/or ambulatory blood pressure to office blood pressure for cardiovascular risk prediction. Hypertension. 2021;77:640–9.
Narita K, Hoshide S, Kario K. Association of home and ambulatory blood pressure with cardiovascular prognosis in practice hypertensive outpatients. Hypertension. 2023;80:451–9.
Kario K. Management of hypertension in the digital era: small wearable monitoring devices for remote blood pressure monitoring. Hypertension. 2020;76:640–50.
Kitt J, Fox R, Tucker KL, McManus RJ. New approaches in hypertension management: a review of current and developing technologies and their potential impact on hypertension care. Curr Hypertens Rep. 2019;21:44.
Acknowledgements
The authors gratefully acknowledge the participation of the study subjects.
Funding
The study was funded by HUAWEI (Shenzhen, Guangdong Province, China). The study investigators were also financially supported by grants from the National Natural Science Foundation of China (grants 82070432, 82070435, 82270469 and 82370426), and Ministry of Science and Technology (grants 2018YFC1704902 and 2022YFC3601302), Beijing, China, from the Shanghai Municipal Commissions of Science and Technology (grant 19DZ2340200), and Health (a special grant for “leading academics”), and The Three-year Action Program of Shanghai Municipality for Strengthening the Construction of Public Health System (GWV-10.1-XK05 and GWV1-11.2-YQ09) Big Data and Artificial Intelligence Application, Shanghai, China, and from the China Postdoctoral Science Foundation under Grant Number 2024M762037.
Author information
Authors and Affiliations
Corresponding author
Ethics declarations
Conflict of interest
JGW reports receiving lecture and consulting fees from Novartis, Omron, Servier, and Viatris. The other authors declared no conflicts of interest.
Additional information
Publisher’s note Springer Nature remains neutral with regard to jurisdictional claims in published maps and institutional affiliations.
Supplementary information
Rights and permissions
Springer Nature or its licensor (e.g. a society or other partner) holds exclusive rights to this article under a publishing agreement with the author(s) or other rightsholder(s); author self-archiving of the accepted manuscript version of this article is solely governed by the terms of such publishing agreement and applicable law.
About this article
Cite this article
Zhou, Y., Zhang, W., Wang, XY. et al. Accuracy of a wearable watch-type oscillometric blood pressure monitor in rest and ambulatory blood pressure measurements. Hypertens Res 48, 2961–2968 (2025). https://doi.org/10.1038/s41440-025-02345-2
Received:
Revised:
Accepted:
Published:
Version of record:
Issue date:
DOI: https://doi.org/10.1038/s41440-025-02345-2
Key words
This article is cited by
-
The quest for accurate wearable blood pressure monitors
Hypertension Research (2025)
-
Design and prototyping of an AI-powered wearable device for continuous vital signs monitoring with intelligent alerting
Scientific Reports (2025)


