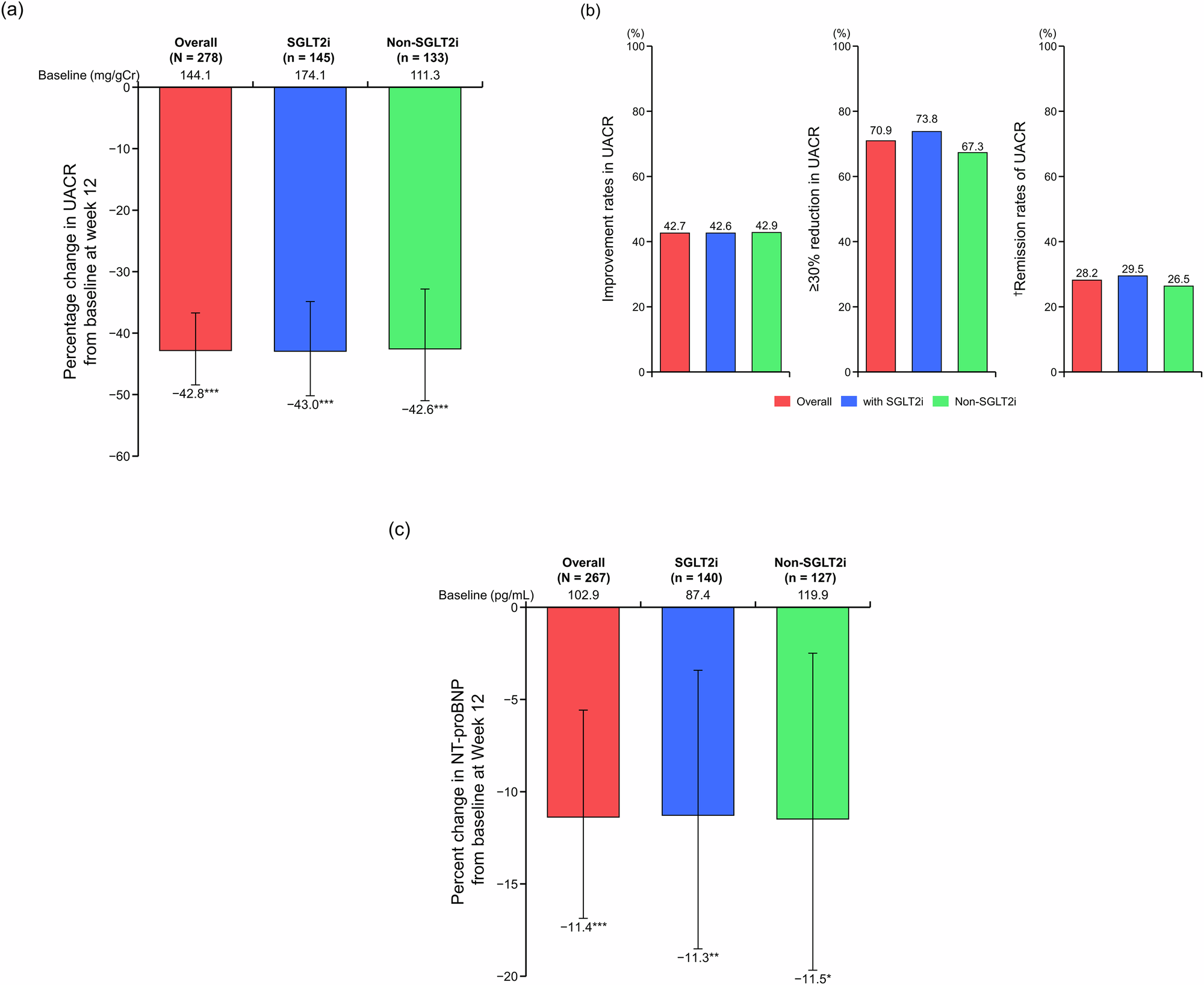
Fig. 3

Percentage change in UACR from baseline to Week 12 (a), improvement rates of UACR (b), and percentage change in NT-proBNP from baseline to Week 12 (c) (full analysis set). Mean; error bars denote 95% confidence interval. For panel a, data include only patients with UACR A2 or A3 at baseline. †Transition to UACR < 30 mg/gCr (UACR A1) from UACR 30– < 300 mg/gCr (UACR A2) or UACR ≥ 300 mg/gCr (UACR A3), along with a ≥30% reduction in UACR from baseline, *P < 0.05 vs baseline. **P < 0.01 vs baseline. ***P < 0.001 vs baseline. NT-proBNP N-terminal pro-B-type natriuretic peptide, SGLT2i sodium–glucose cotransporter-2 inhibitor, UACR urine albumin-to-creatinine ratio