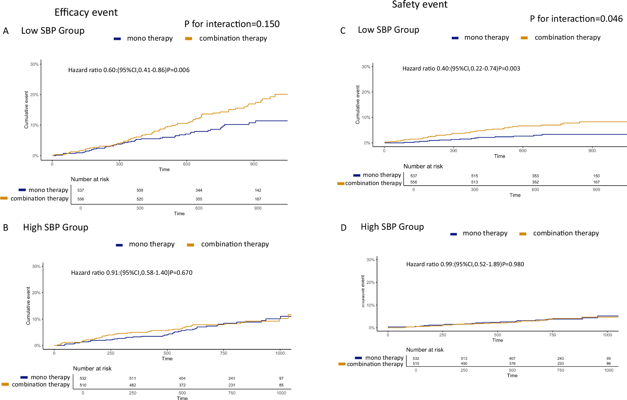
Fig. 3

Kaplan–Meier curves for efficacy and safety events in Low SBP group and High SBP between monotherapy and combination therapy. Panel A shows efficacy events between monotherapy and combination therapy in Low SBP group. Panel B shows efficacy events between monotherapy and combination therapy in High SBP group. Panel C shows safety events between monotherapy and combination therapy in Low SBP group. Panel D shows safety events between monotherapy and combination therapy in High SBP group