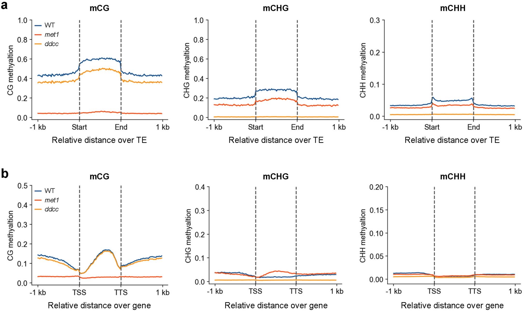
Extended Data Fig. 4: Comparison of DNA methylation levels between wildtype and mutants over transposable elements (TE) and gene bodies.

a. Metaplots of DNA methylation levels in CG, CHG, and CHH contexts over TE in wildtype and mutant samples. b. Metaplots of DNA methylation levels in CG, CHG, and CHH contexts over gene bodies in wildtype and mutant samples.