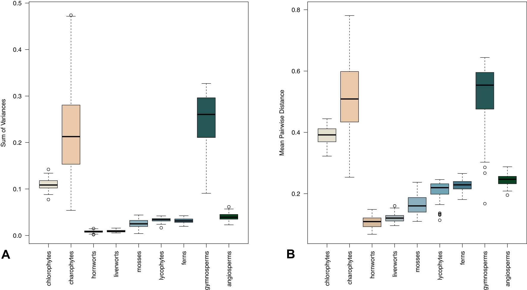
Extended Data Fig. 5: A comparison of disparity between lineages based on A. sum of variances and B. mean pairwise distance.
From: Evolution of phenotypic disparity in the plant kingdom

Disparity is calculated as the mean pairwise distance between taxa within each lineage. The partial disparity represents the contribution of each lineage to the total morphological variation, calculated as the mean distance to the overall centroid. The bounds represent the maxima and minima estimated from 1000 bootstrap replicates of the data, with the boxes corresponding to the 25th and 75th percentile and the centre the median.