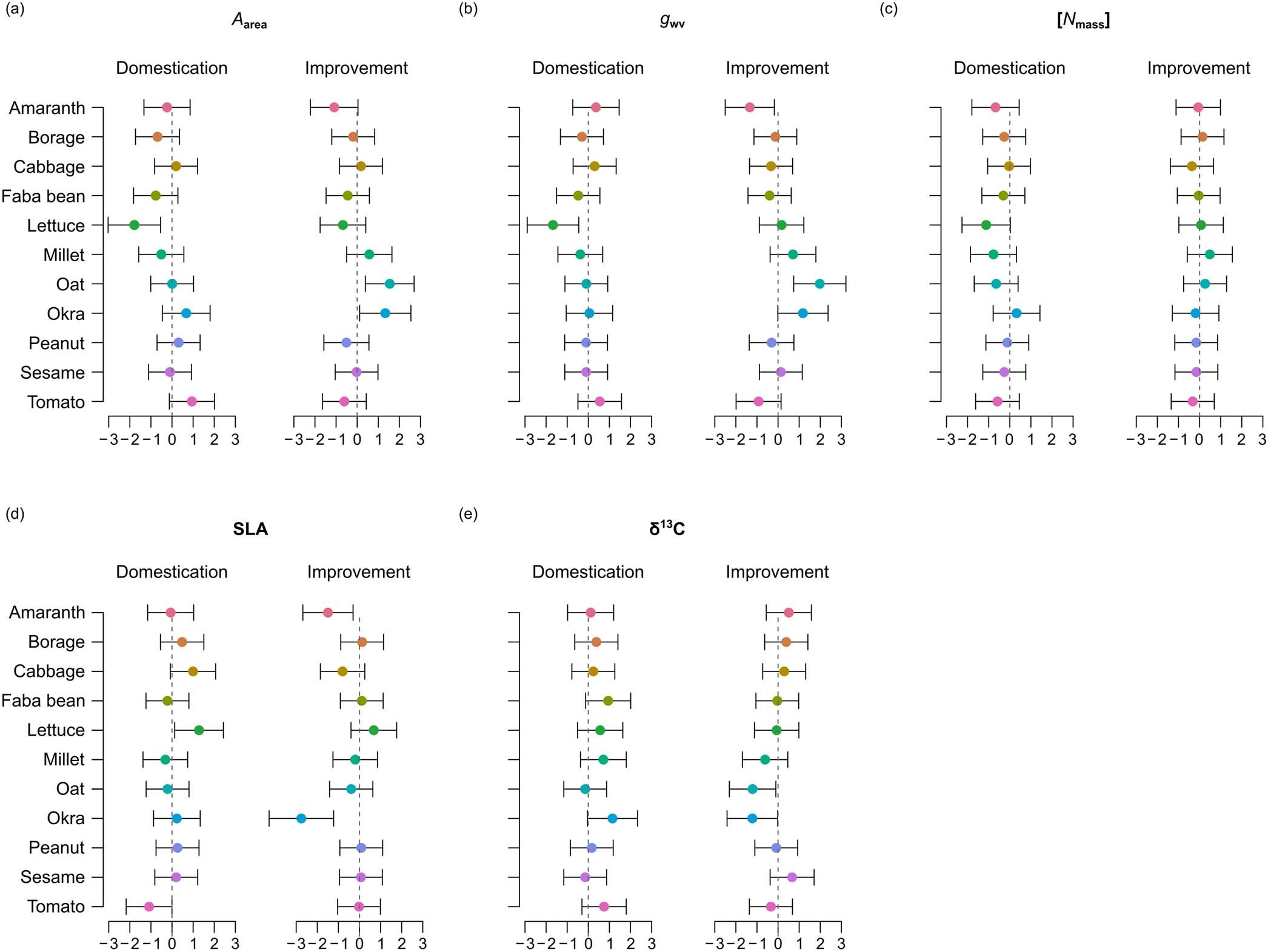
Extended Data Fig. 4: Effect sizes of domestication and improvement.

Effect sizes of domestication (landrace-progenitor comparisons) and improvement (improved-landrace comparisons) on the five studied ecophysiological traits: net photosynthetic rate per unit area (a), stomatal conductance to water vapour (b), mass-based leaf N concentration (c), specific leaf area (d), and 13C isotopic composition (e), for each crop included in the experimental dataset. The dots are the effect sizes estimated by Hedges´G and the bars are the 95% confidence intervals. Hedges’ G was computed as the difference in means between landraces and wild progenitors (domestication effect size; n = 16 for each crop) or improved cultivars and landraces (improvement effect size; n = 16 for each crop) divided by the pooled and weighted standard deviation of the two groups. Negative scores of Hedges’ G indicate negative effects of domestication or improvement on the ecophysiological traits.