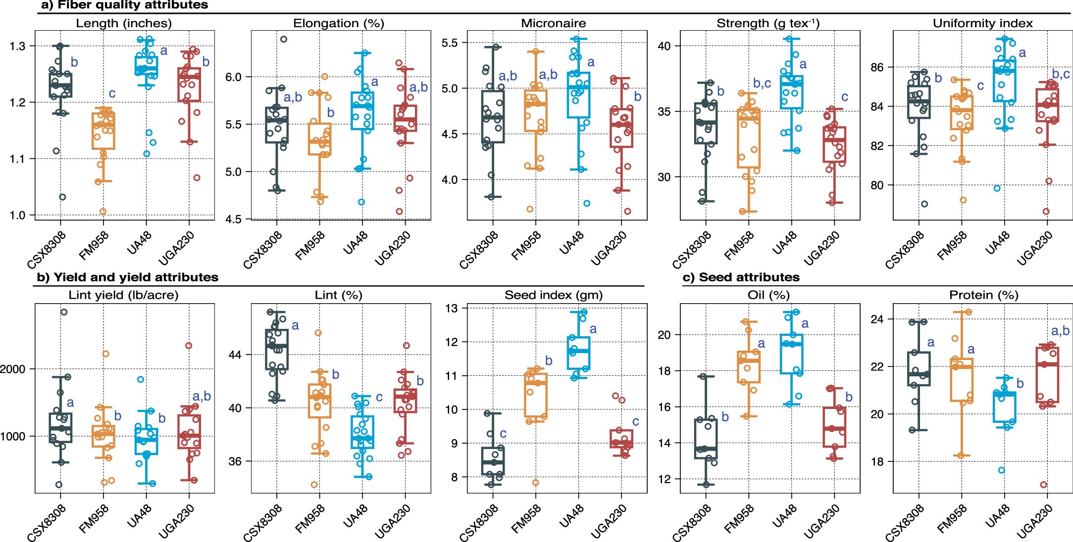
Extended Data Fig. 2: Biometric parameters of cotton fibre.
From: Genome resources for three modern cotton lines guide future breeding efforts

a, Quality, b, yield and c, seed attributes of four cotton cultivars including CSX8308, FM958 (a commercial variety), UA48, and UGA230. The box plots indicate the median (the line within the box); the lower and upper edges of the boxes correspond to the 25th and 75th percentiles of each groups’ distribution of values with whiskers extending to ±1.5× interquartile range (IQR); circles represents a least squares (LS) trait mean for each cultivar (n = 4, biologically independent samples) in an environment; alphabets represent significance of contrasts using Tukey’s HSD test - common alphabets within charts are not different at P < 0.05. Trait-specific details of number of environments (n) and the range of P values (if multiple) at which contrasts between cultivars were declared significant for i) Length (inches): n = 18; P < 0.014–0.0001; ii) Elongation (%): n = 18; P < 0.008; iii) Micronaire: n = 18; P < 0.0002–0.036; iv) Strength (g tex-1): n = 18; P < 0.0001–0.0003, v) Uniformity index: n = 18; P < 0.0001–0.028, vi) Lint yield (lb/acre): n = 15; P < 0.00039–0.009, (vii) Lint (%): n = 19; P < 0.0001, viii) Seed index: n = 9; P < 0.0001–0.01, ix) Oil (%): n = 9; P < 0.0001–0.009, and x) Protein (%): n = 9; P < 0.003–0. 019, respectively.