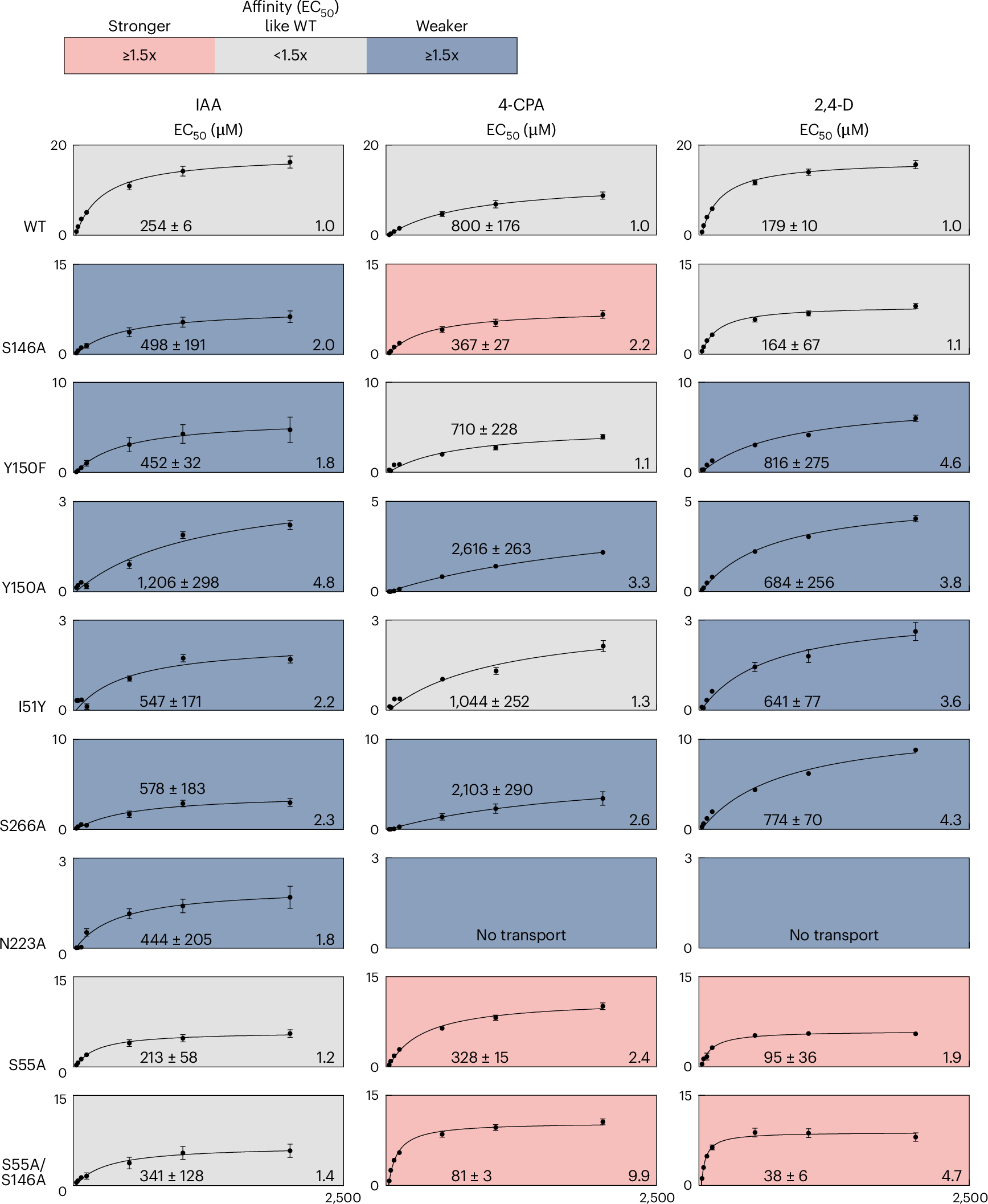
Fig. 4: Identification of key residues required for substrate binding.
From: Transport of phenoxyacetic acid herbicides by PIN-FORMED auxin transporters

EC50 of peak current response as a function of the substrates indicated derived from the full measurements. A Michaelis–Menten model is fit to describe kinetics (Supplementary Table 4). Red colour indicates ≥1.5 times higher affinity than wild type (WT); blue colour indicates ≥1.5 times lower affinity than WT; grey colour indicates <1.5 times change from WT affinity. No transport means that a Michaelis–Menten model could not be fit. The x axis unit is µM, y axis unit is (nA) and the fold-change differences to the respective EC50 of wildtype PIN8 is indicated in the bottom right corner of each graph. Data points represent mean ± s.e.m. For individual n values, see Supplementary Table 4.