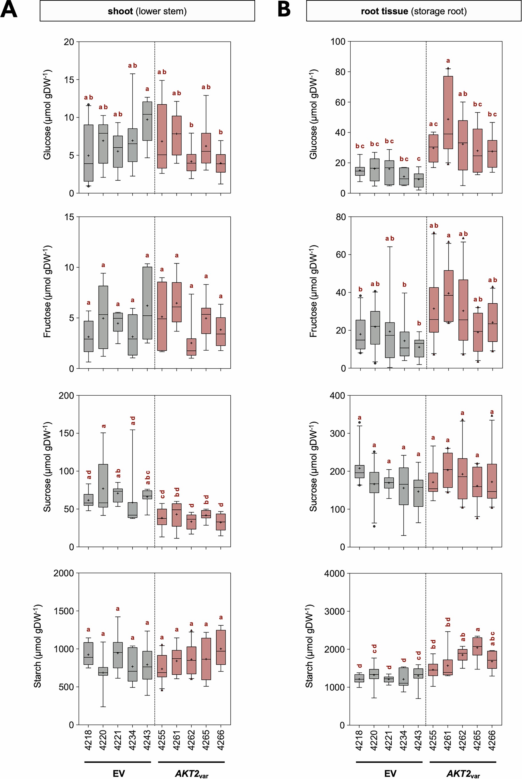
Extended Data Fig. 6: Expression of AKT2var in cassava leads to changes in sugar concentrations in 2022 confined field trials.
From: Engineering vascular potassium transport increases yield and drought resilience of cassava

Glucose, fructose, sucrose, and starch concentrations in (A) shoot and (B) storage root tissues. Data are shown for plants from EV lines (EV-4218, EV-4234, and EV-4243) and AKT2var lines (AKT2var-4261, AKT2var-4262, and AKT2var-4264) about nine months (April to December) after planting. In A for EV-4218 n = 10,8,9,9, EV-4220 n = 8,7,9,8, EV-4221 n = 9,7,8,9, EV-4234 n = 9,8,8,8, EV-4243 n = 8,8,9,9, AKT2var-4255 n = 8,6,9,10, AKT2var-4261 n = 8,5,8,9, AKT2var-4262 n = 9,8,9,10, AKT2var-4265 n = 9,8,8,9, and AKT2var-4266 n = 6,7,9,6 biological replicates were analysed.In B for EV-4218 n = 9,10,10,9, EV-4220 n = 8,10,10,9, EV-4221 n = 7,9,8,8, EV-4234 n = 7,7,9,7, EV-4243 n = 8,9,9,7, AKT2var-4255 n = 8,10,9,9, AKT2var-4261 n = 10,10,10,9, AKT2var-4262 n = 9,10,10,9, AKT2var-4265 n = 8,10,10,9, and AKT2var-4266 n = 8,10,10,9 biological replicates were analysed. In box plots, centre line represents the median and plus (+) the mean, box edges delineate first and third quartiles, whiskers extend to maximum and minimum values and dots show individual values. Different lower-case letters indicate statistical significance, as calculated by one-way ANOVA with a post-hoc Tukey HSD test (p < 0.05).