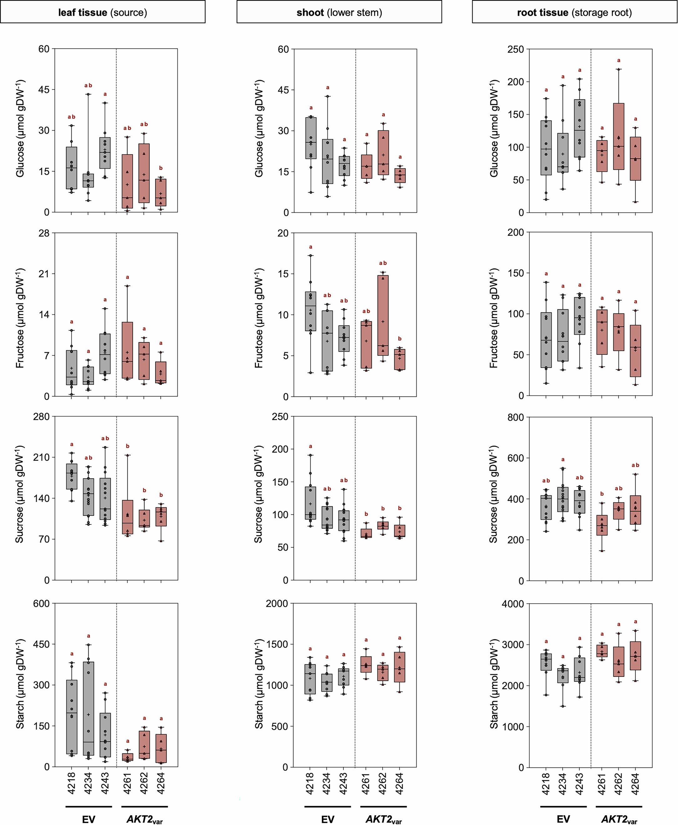
Extended Data Fig. 2: Expression of AtAKT2var in cassava causes only minor changes in sugar and starch levels in greenhouse experiments.
From: Engineering vascular potassium transport increases yield and drought resilience of cassava

Glucose, fructose, sucrose, and starch concentrations in leaf, lower stem, and storage root tissues of plants from EV control lines (EV-4218, 4234, and 4243), and plants from AKT2var lines (AKT2var-4261, 4262, and 4264) 19 weeks after planting in soil. From left to right for EV-4218 n = 10,10,9,8,8,10,8,8,8, EV-4234 n = 10,10,9,8,8,10,8,8,8, EV-4243 n = 10,10,10,8,8,10,8,8,8, AKT2var-4261 n = 5,5,5,4,5,5,5,4,5, AKT2var-4262 n = 5,5,5,5,5,5,5,4,5 and AKT2var-4264 n = 5,5,5,5,5,5,5,5,5 biological replicates were analysed. In box plots, centre line represents the median and plus (+) the mean, box edges delineate first and third quartiles, whiskers extend to maximum and minimum values and dots show individual values. Different lower-case letters indicate statistical significance, as calculated by one-way ANOVA with a post-hoc Tukey HSD test (p < 0.05).