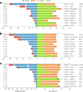
Detailed study of the role of plant canopy architecture on crop yield and N2O emissions remains limited. Our study reveals that a clumped canopy architecture in crops such as rice, wheat, maize and soybean can simultaneously improve yields and reduce nitrous oxide (N2O) emissions, thus representing a promising strategy to enhance agricultural productivity and sustainability globally.
This is a preview of subscription content, access via your institution
Access options
Access Nature and 54 other Nature Portfolio journals
Get Nature+, our best-value online-access subscription
$32.99 / 30 days
cancel any time
Subscribe to this journal
Receive 12 digital issues and online access to articles
$119.00 per year
only $9.92 per issue
Buy this article
- Purchase on SpringerLink
- Instant access to the full article PDF.
USD 39.95
Prices may be subject to local taxes which are calculated during checkout

References
Food and Agriculture Organization of the United Nations Statistical Database (FAOSTAT). FAO https://www.fao.org/faostat/en/#data (2024). Global statistics of crop yields across different countries and regions.
Cui, X. et al. Global mapping of crop-specific emission factors highlights hotspots of nitrous oxide mitigation. Nat. Food 2, 886–893 (2021). This paper reports crop-specific N2O emissions and mitigation practices.
Fang, H. Canopy clumping index (CI): A review of methods, characteristics, and applications. Agric. For. Meteorol. 303, 108374 (2021). A review article that presents the characteristics, observational methods and applications of the CI.
Chen, J. M. et al. Effects of foliage clumping on the estimation of global terrestrial gross primary productivity. Global Biogeochem. Cycles 26, GB1019 (2012). This paper reports the remarkable effects of clumped plant canopy architecture on global terrestrial gross primary productivity.
Tian, J. et al. Maize smart-canopy architecture enhances yield at high densities. Nature 632, 576–584 (2024). This paper reports the potential of smart-canopy architecture (that is, leaf angles at different canopy layers) on maize yields through the change of a key gene.
Additional information
Publisher’s note Springer Nature remains neutral with regard to jurisdictional claims in published maps and institutional affiliations.
This is a summary of: Yan, Y. et al. Clumped canopy architecture raises global crop yield and reduces N2O emissions. Nat. Plants. https://doi.org/10.1038/s41477-025-02172-w (2026).
Rights and permissions
About this article
Cite this article
A clumped canopy architecture can increase crop yields while reducing N2O emissions. Nat. Plants 12, 14–15 (2026). https://doi.org/10.1038/s41477-025-02174-8
Published:
Version of record:
Issue date:
DOI: https://doi.org/10.1038/s41477-025-02174-8