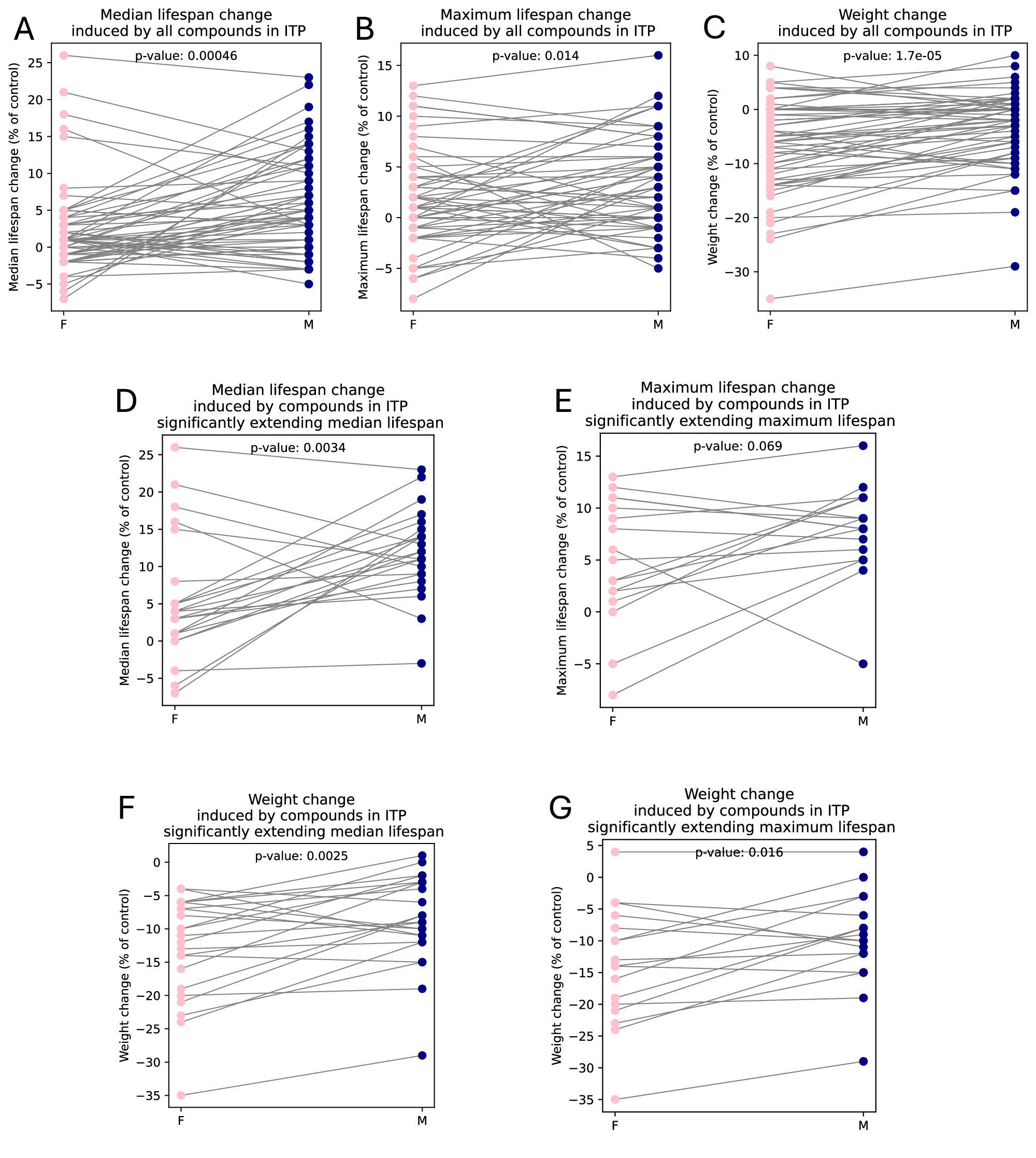
Fig. 3: Pairwise comparisons between males (M, navy) and females (F, pink) for compounds from ITP studies.
From: Sex-specific insights into drug-induced lifespan extension and weight loss in mice

A, D Median lifespan change. B, E Maximum lifespan change. C, F, G Weight change. A, B, C All tested compounds were considered. D, F Only compounds significantly extending median lifespan were considered. E, G Only compounds significantly extending maximum lifespan were considered. Lines represent individual compounds. The significance of the lifespan effects was taken from the source publications. The significance of the differences between males and females was estimated by a paired t-test using the ttest_rel function from the scipy.stats library in Python.