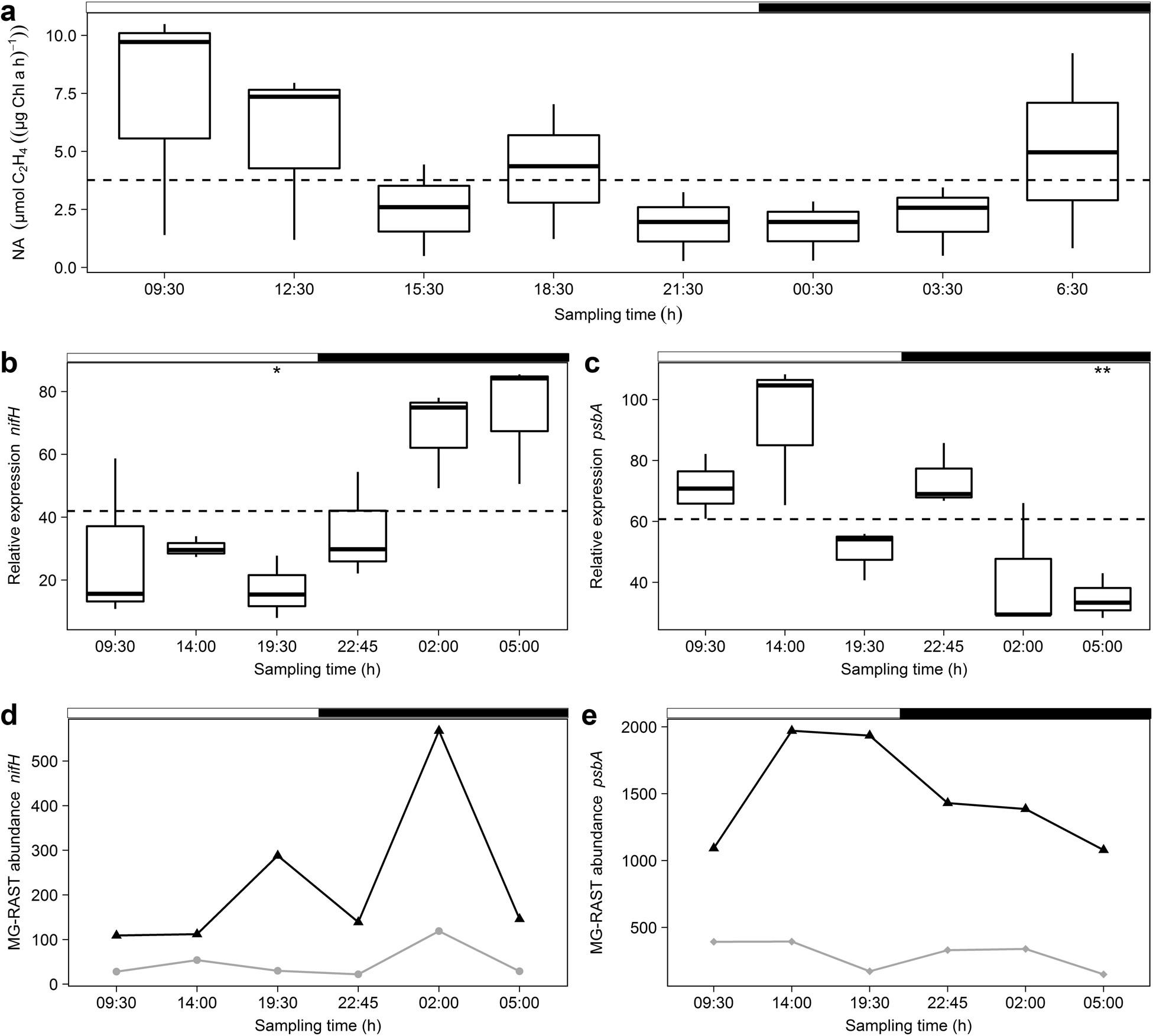
Fig. 3

a–e Nitrogenase activity (a), nifH expression profiles (b, d) and psbA expression profiles (c, e) of MG-RAST and qPCR. Boxplots display (a) the nitrogenase activity (NA) (µmol C2H4 (µg Chl a * h)−1) and relative expression (qPCR) of (b) nifH and (c) psbA in L. aestuarii of which the biological triplicates were taken at 8 (NA) and 6 (relative expression) time points within 24 h. ANOVA results are indicated by asterisks displaying significant differences (p < 0.05) in gene expression between time points based on their deviation from the mean (dotted line). The line charts show the MG-RAST abundance of (d) nifH in Cyanobacteria (black triangle) and Proteobacteria (gray circle), and (e) psbA in Cyanobacteria (black triangle) and Bangiophyceae (gray diamond). White and black bars on top of charts indicate light and dark periods. Error bars display standard deviations (SD) of biological triplicates