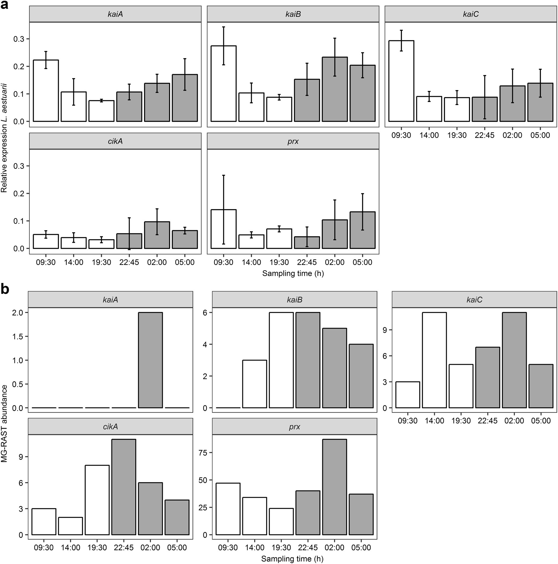
Fig. 4

Expression profiles of cikA, kaiABC and prx of L. aestuarii PCC8106 (CCY9616) (a) and of the MG-RAST metatranscriptomes (b). a Bars show the relative expression (normalized to the housekeeping genes rnpA and ppc) of the L. aestuarii circadian clock core genes kaiABC, the circadian input kinase cikA and peroxiredoxin (prx) and (b) the MG-RAST abundance of the summed expression of the aforementioned genes. X-axes show the 6 sampling times within the 24 h period while the white and gray coloration of bars symbolize light and dark periods. Error bars display standard deviations (SD) of biological triplicates