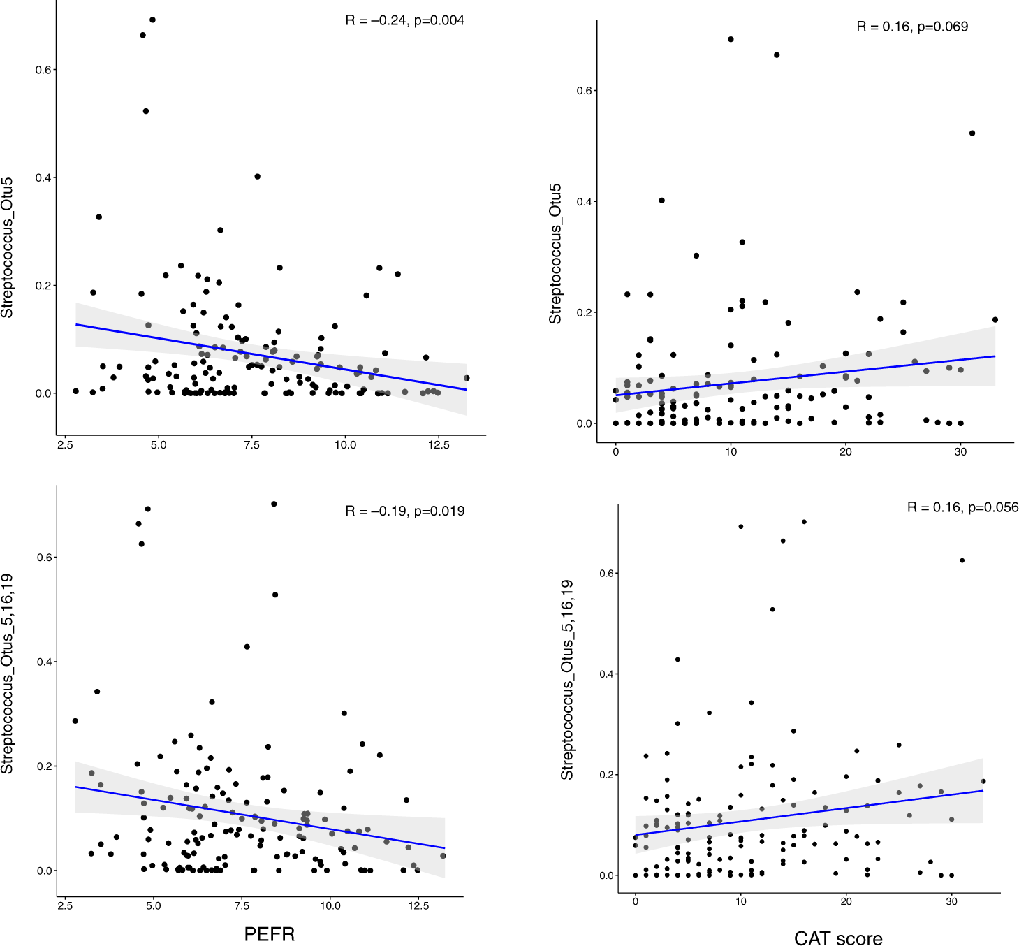
Fig. 4: Streptococcus, PEFR and CAT score in ever-smokers with or without COPD.
From: Lung microbiota associations with clinical features of COPD in the SPIROMICS cohort

The relative abundance of Streptococcus Otu5, either alone (top panels) or together with other Streptococcus OTUs (bottom panels), correlate negatively with peak expiratory flow rate (PEFR) and positively with COPD Assessment Test (CAT) score.